Question
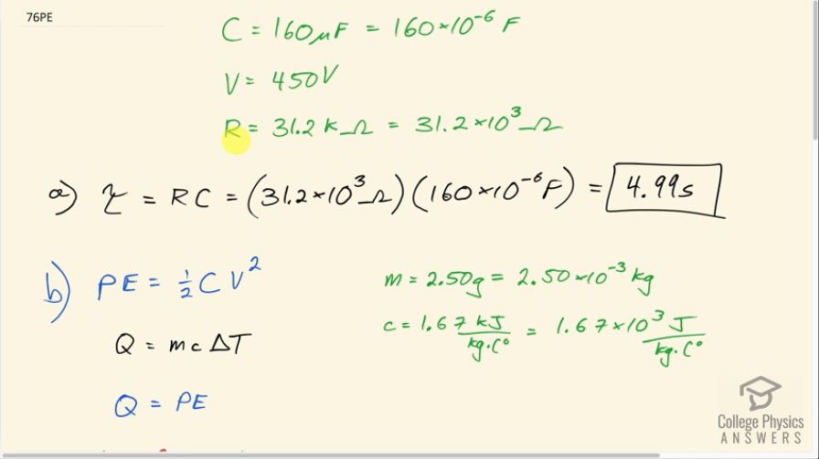
A capacitor charged to 450 V is discharged through a resistor. (a) Find the time constant. (b) Calculate the temperature increase of the resistor, given that its mass is 2.50 g and its specific heat is , noting that most of the thermal energy is retained in the short time of the discharge. (c) Calculate the new resistance, assuming it is pure carbon. (d) Does this change in resistance seem significant?
Final Answer
- The percent change is -0.20%. This is not significant.
Solution video
OpenStax College Physics for AP® Courses, Chapter 21, Problem 76 (Problems & Exercises)

vote with a rating of
votes with an average rating of
.
Calculator Screenshots
Video Transcript
This is College Physics Answers with Shaun Dychko. A 160 microfarad capacitor is charged to 450 volts; it's in a circuit with a resistance of 31.2 kiloohms, which is 31.2 times 10 to the 3 ohms and part (a) asks us what is the time constant of the circuit? So that's the resistance multiplied by the capacitance, which is 4.99 seconds. In part (b), we are asked to figure out the temperature increase of the resistor and here's the formula for the potential energy stored in a capacitor and I am not even sure if this is given to you in the textbook but anyway... it's one-half times capacitance times the voltage across the capacitor squared and this energy is going to be turned into heat in the resistor and that heat will be the mass of the resistor times its specific heat capacity and this letter c here I am trying to write it really small to distinguish it from this C here which is a C for capacitance— these are different things— and then multiplied by the change in temperature here. So the heat absorbed by the resistance is equal to the potential energy that was initially stored in the capacitor so we'll equate these two formulae and we'll say one-half capacitance times voltage squared initially equals mass of the resistor times its specific heat capacity times its change in temperature and then we'll divide both sides by mc to solve for ΔT. Capacitance times voltage squared divided by 2 times resistor mass times resistor specific heat capacity. So it's 160 times 10 to the minus 6 farads times 450 volts squared divided by 2 times 2.50 times 10 to the minus 3 kilograms; the mass has to be expressed in kilograms like all of our formulas or most of them anyway... they have to be in meters, kilograms and seconds—mks units and then we multiply by 1.67 times 10 to the 3 joules per kilogram per Celsius degree; in the textbook, it gives us 1.67 kilojoules but again, we have to turn that into mks units and in this case, it would be just times 10 to the 3 joules... we have to get rid of that prefix 'kilo' there but keep the prefix 'kilo' there as it turns out but... yeah, meters, kilograms and seconds. Okay! 3.88 Celsius degrees is the increase in temperature of the resistor. Then we have to look back to chapter 20 and see how the resistance of carbon changes with temperature— this is the table [20.2] of the temperature coefficients of resistivity— and that's negative 0.5 times 10 to the minus 3 for carbon which means its resistance decreases with increases in temperature. Resistance is initial resistance times 1 plus temperature coefficient of resistivity times change in temperature and for carbon that's negative 0.5 times 10 to the minus 3. Okay! So the resistance then will be its initial resistance— 31.2 times 10 to the 3 ohms— times 1 plus negative 0.5 times 10 to the minus 3 per Celsius degree times 3.8802 Celsius degrees and that's 31.1 times 10 to the 3 ohms. And part (d) asks us is this change significant? And often to answer questions like that, we can find percent difference. So this new resistance 31.139 kiloohms minus the initial resistance of 31.2 kiloohms divided by 31.2 kiloohms times a 100 percent is negative 0.20 percent; that's a very small percent change and it is not significant.