Question
Using the exact exponential treatment, find how much time is required to discharge a capacitor through a
resistor down to 1.00% of its original voltage.
Final Answer
Solution video
OpenStax College Physics for AP® Courses, Chapter 21, Problem 72 (Problems & Exercises)

vote with a rating of
votes with an average rating of
.
Calculator Screenshots
Video Transcript
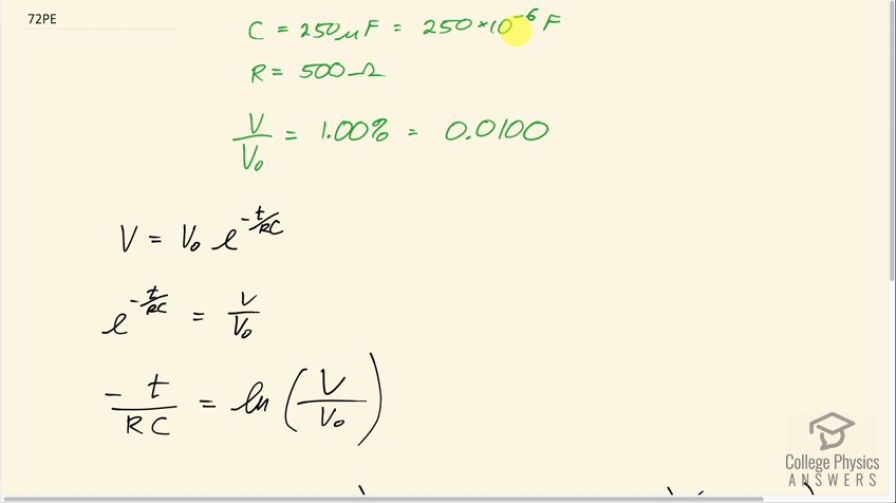
This is College Physics Answers with Shaun Dychko. Given an RC circuit with a resistance of 500 ohms and a capacitance of 250 microfarads, which is 250 times 10 to the minus 6 farads and a final voltage divided by initial voltage of one percent, which is 0.0100, how much time is needed for the voltage to reach this one percent? So the voltage on a disc charging capacitor is the initial voltage times e to the negative time divided by resistance times capacitance and we will divide both sides by V naught to get e to the negative t over RC equals V over V naught and then take the natural logarithm of both sides and the natural logarithm of e to the something is just that something so we have negative t over RC equals the right hand side natural logarithm of V over V naught. Then we'll multiply both sides by negative RC to solve for t and we get the time then is negative resistance times capacitance times natural logarithm of this ratio. So that's negative 500 ohms times 250 times 10 to the minus 6 farads times 0.0100 and that is 0.576 seconds.