Question
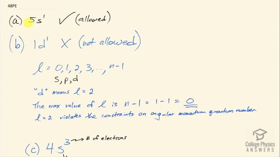
Which of the following spectroscopic notations are not allowed? (a) (b) (c) (d) (e) . State which rule is violated for each that is not allowed.
Final Answer
- allowed
- exceeds the maximum allowed for
- A maximum of two electrons may occupy the "s" sub-shell. Having three electrons would violate the Pauli exclusion principle.
- A maximum of 6 electrons is allowed in the "p" sub-shell.
- allowed
Solution video
OpenStax College Physics, Chapter 30, Problem 48 (Problems & Exercises)

vote with a rating of
votes with an average rating of
.
Video Transcript
This is College Physics Answers with Shaun Dychko. We are going to determine whether a series of spectroscopic notations are allowed or not? So the first example in part (a) is 5s 1 so this first big number here— this coefficient you might say—is the shell, which is the letter n this corresponds to a number for the angular momentum quantum number, which is l and the letter s means l has a value of 0 and this superscript 1 is the number of electrons and this is totally permissible... it's saying that there is one electron in the s sub-orbital of the fifth shell and certainly any sub-orbital can accommodate at least 1 electron I mean the s sub-orbital with l equals 0 can accommodate two electrons and that's the fewest of any of the sub-orbitals. Okay! There! Part (b) has 1d 1 and that's not allowed because given a shell of 1 or n equals 1, you can't have an angular momentum quantum number that is more than zero. So the numbers that are possible are 0, 1, 2, 3 up till 1 less than n and these numbers for l correspond to these letters s, p and d for 0, 1 and 2 respectively and d means l equals 2 but the maximum value of l is 0 in this case since n is 1 and that means l equal to 2 violates the constraints on angular momentum quantum numbers. Okay! (c) is not allowed because it's saying that there are three electrons in a sub-orbital with an angular momentum number of 0. Now the angular momentum projection quantum number is anywhere from negative l up to l but in this case since l is 0, it can be only 0. So there are only two states that can possibly exist in this sub-orbital— one is with spin up or spin down— or another way to say it is positive of a half and negative of a half for the spin projection quantum number, which is m s. So with l equal to 0, you can have only two possible electrons and so having 3 violates that constraint; you could say that this violates the Pauli exclusion principle because two electrons would need to share the same state since there are only two states available. and with three electrons, two of them would have to be in the same state. Okay so that's not going to work! Part (d) not allowed either with a sub-orbital letter p that corresponds to the number 1 for the angular momentum quantum number and you can see that from this list up here—1 corresponds to p— and when you have l equal to 1, the angular momentum projection quantum number can go everywhere from negative of l up to positive l in integers so that's negative 1, 0 or 1 and for each value of m l, you can have two values for m s— negative of a half or positive of a half— and that leaves a total of six possibilities for the sub-orbital p and having 7 violates that maximum of 6 so that's not going to work; 7's more than 6 and 3p 7 therefore is not allowed. 5g 15 is allowed because the number of electrons you can fit in the l equals 0 sub-orbital is 2 and then l equals 1, you can fit 6 as we figured out here and then each number you add to l, adds an extra 4 possible electrons so you could have 10 in the d orbital, 14 in the f orbital and anyway, the total here is certainly more than 15 I mean we have already gotten more than 15 just in considering up to the d sub-orbital so yes this state is allowed.