Question
(a) What is the magnitude of the angular momentum for an electron? (b) Calculate the magnitude of the electron’s spin angular momentum. (c) What is the ratio of these angular momenta?
Final Answer
Solution video
OpenStax College Physics, Chapter 30, Problem 40 (Problems & Exercises)

vote with a rating of
votes with an average rating of
.
Calculator Screenshots
Video Transcript
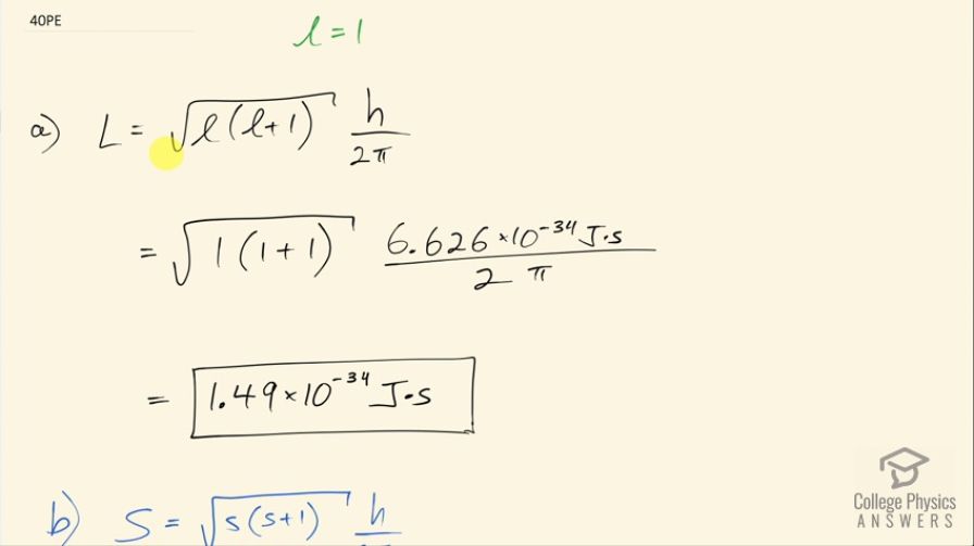
This is College Physics Answers with Shaun Dychko. The angular momentum for an electron with an angular momentum quantum number of 1 is given by this formula so that's a square root of l times l plus 1 times Planck's constant over 2π. So that's square root of 1 times 1 plus 1 times 6.626 times 10 to the minus 34 joule seconds over 2π and that is 1.49 times 10 to the minus 34 joule seconds of angular momentum. The electron's spin angular momentum is given by this formula and this spin quantum number for an electron is always one-half and so we have one-half times a half plus 1 all square rooted times Planck's constant over 2π and that's 9.13 times 10 to the minus 35 joule seconds and then we find the ratio of angular momentum to the spin angular momentum and this works out to 1.63.