Chapter 30

Chapter thumbnail
Individual carbon atoms are visible in this image of a carbon nanotube made by a scanning tunneling electron microscope.

Chapter 30 : Atomic Physics - all with Video Solutions

Problems & Exercises

Section 30.1: Discovery of the Atom

Problem 1

Using the given charge-to-mass ratios for electrons and protons, and knowing the magnitudes of their charges are equal, what is the ratio of the proton’s mass to the electron’s? (Note that since the charge-to-mass ratios are given to only three-digit accuracy, your answer may differ from the accepted ratio in the fourth digit.)

View solution

Problem 2

(a) Calculate the mass of a proton using the charge-to- mass ratio given for it in this chapter and its known charge. (b) How does your result compare with the proton mass given in this chapter?

View solution

Problem 3

If someone wanted to build a scale model of the atom with a nucleus 1.00 m in diameter, how far away would the nearest electron need to be?

View solution

Section 30.2: Discovery of the Parts of the Atom: Electrons and Nuclei

Problem 4

Rutherford found the size of the nucleus to be about 1015 m10^{-15}\textrm{ m} . This implied a huge density. What would this density be for gold?

View solution

Problem 5

In Millikan’s oil-drop experiment, one looks at a small oil drop held motionless between two plates. Take the voltage between the plates to be 2033 V, and the plate separation to be 2.00 cm. The oil drop (of density 0.81 g/cm30.81 \textrm{ g/cm}^3) has a diameter of 4.0×106 m4.0 \times 10^{-6} \textrm{ m} . Find the charge on the drop, in terms of electron units.

View solution

Problem 6

(a) An aspiring physicist wants to build a scale model of a hydrogen atom for her science fair project. If the atom is 1.00 m in diameter, how big should she try to make the nucleus? (b) How easy will this be to do?

View solution

Section 30.3: Bohr's Theory of the Hydrogen Atom

Problem 9

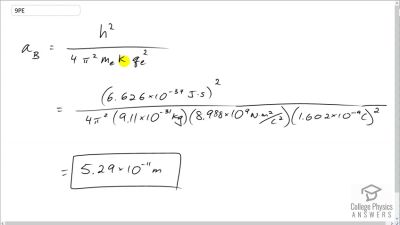
Look up the values of the quantities in aB=h24π2mekqe2a_B = \dfrac{h^2}{4\pi^2m_ekq_e^2}, and verify that the Bohr radius aBa_B is 0.529×1010 m0.529\times 10^{-10}\textrm{ m}.

View solution

Problem 10

Verify that the ground state energy E0E_0 is 13.6 eV13.6\textrm{ eV} by using E0=2π2qe4mek2h2E_0 = \dfrac{2 \pi^2 q_e^4 m_e k^2}{h^2}.

View solution

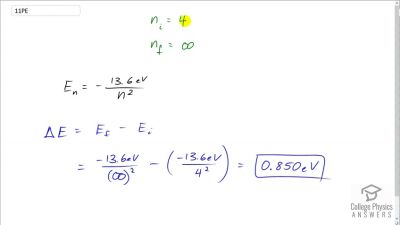
Problem 12

A hydrogen atom in an excited state can be ionized with less energy than when it is in its ground state. What is nn for a hydrogen atom if 0.850 eV of energy can ionize it?

View solution

Problem 14

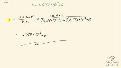
Show that 13.6 eVhc=1.097×107 /m=R\dfrac{13.6\textrm{ eV}}{hc} = 1.097\times 10^{7}\textrm{ /m} = R (Rydberg's constant), as discussed in the text.

View solution

Problem 16

Show that the entire Paschen series is in the infrared part of the spectrum. To do this, you only need to calculate the shortest wavelength in the series.

View solution

Problem 17

Do the Balmer and Lyman series overlap? To answer this, calculate the shortest-wavelength Balmer line and the longest-wavelength Lyman line.

View solution

Problem 18

(a) Which line in the Balmer series is the first one in the UV part of the spectrum? (b) How many Balmer series lines are in the visible part of the spectrum? (c) How many are in the UV?

View solution

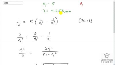
Problem 19

A wavelength of 4.653 μm4.653\textrm{ }\mu\textrm{m} is observed in a hydrogen spectrum for a transition that ends in the nf=5n_f = 5 level. What was nin_i for the initial level of the electron?

View solution

Problem 20

A singly ionized helium ion has only one electron and is denoted He+\textrm{He}^+ . What is the ion’s radius in the ground state compared to the Bohr radius of hydrogen atom?

View solution

Problem 21

A beryllium ion with a single electron (denoted Be3+)isinanexcitedstatewithradiusthesameasthatofthegroundstateofhydrogen.<oltype="a"><li>WhatisBe^{3+} ) is in an excited state with radius the same as that of the ground state of hydrogen. <ol type="a"> <li>What is nforthe for the Be^{3+}$ ion?
  • How much energy in eV is needed to ionize the ion from this excited state?
  • View solution

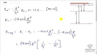
    Problem 22

    Atoms can be ionized by thermal collisions, such as at the high temperatures found in the solar corona. One such ion is C+5\textrm{C}^{+5}, a carbon atom with only a single electron. (a) By what factor are the energies of its hydrogen-like levels greater than those of hydrogen? (b) What is the wavelength of the first line in this ion’s Paschen series? (c) What type of EM radiation is this?

    View solution

    Problem 23

    Verify equations rn=n2ZaBr_n = \dfrac{n^2}{Z}a_B and aB=h24π2mekqe2=0.529×1010 ma_B = \dfrac{h^2}{4\pi^2m_ekq_e^2} = 0.529 \times 10^{-10}\textrm{ m} using the approach stated in the text. That is, equate the Coulomb and centripetal forces and then insert an expression for velocity from the condition for angular momentum quantization.

    View solution

    Problem 24

    The wavelength of the four Balmer series lines for hydrogen are found to be 410.3, 434.2, 486.3, and 656.5 nm. What average percentage difference is found between these wavelength numbers and those predicted by 1λ=R(1nf21ni2)\dfrac{1}{\lambda} = R \left ( \dfrac{1}{n_f^2} - \dfrac{1}{n_i^2} \right )? It is amazing how well a simple formula (disconnected originally from theory) could duplicate this phenomenon.

    View solution

    Section 30.4: X Rays: Atomic Origins and Applications

    Problem 25

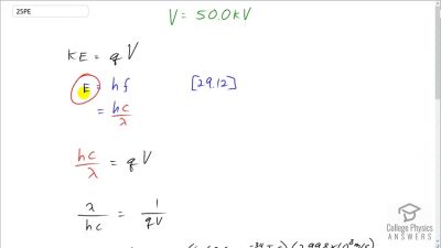
    (a) What is the shortest-wavelength x-ray radiation that can be generated in an x-ray tube with an applied voltage of 50.0 kV? (b) Calculate the photon energy in eV. (c) Explain the relationship of the photon energy to the applied voltage.

    View solution

    Problem 26

    A color television tube also generates some x rays when its electron beam strikes the screen. What is the shortest wavelength of these x rays, if a 30.0-kV potential is used to accelerate the electrons? (Note that TVs have shielding to prevent these x rays from exposing viewers.)

    View solution

    Problem 27

    An x ray tube has an applied voltage of 100 kV. (a) What is the most energetic x-ray photon it can produce? Express your answer in electron volts and joules. (b) Find the wavelength of such an X–ray.

    View solution

    Problem 28

    The maximum characteristic x-ray photon energy comes from the capture of a free electron into a KK shell vacancy. What is this photon energy in keV for tungsten, assuming the free electron has no initial kinetic energy?

    View solution

    Section 30.5: Applications of Atomic Excitations and De-Excitations

    Problem 30

    Figure 30.39 shows the energy-level diagram for neon. (a) Verify that the energy of the photon emitted when neon goes from its metastable state to the one immediately below is equal to 1.96 eV. (b) Show that the wavelength of this radiation is 633 nm. (c) What wavelength is emitted when the neon makes a direct transition to its ground state?

    View solution

    Problem 31

    A helium-neon laser is pumped by electric discharge. What wavelength electromagnetic radiation would be needed to pump it? See Figure 30.39 for energy-level information.

    View solution

    Problem 32

    Ruby lasers have chromium atoms doped in an aluminum oxide crystal. The energy level diagram for chromium in a ruby is shown in Figure 30.64. What wavelength is emitted by a ruby laser?

    View solution

    Problem 33

    (a) What energy photons can pump chromium atoms in a ruby laser from the ground state to its second and third excited states? (b) What are the wavelengths of these photons? Verify that they are in the visible part of the spectrum.

    View solution

    Problem 34

    Some of the most powerful lasers are based on the energy levels of neodymium in solids, such as glass, as shown in Figure 30.65. (a) What average wavelength light can pump the neodymium into the levels above its metastable state? (b) Verify that the 1.17 eV transition produces 1.06 μm1.06\textrm{ }\mu\textrm{m} radiation.

    View solution

    Section 30.8: Quantum Numbers and Rules

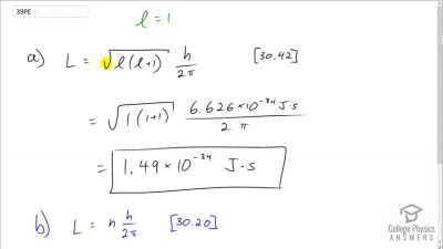
    Problem 39

    (a) Calculate the magnitude of the angular momentum for an l=1l = 1 electron. (b) Compare your answer to the value Bohr proposed for the n=1n = 1 state.

    View solution

    Problem 40

    (a) What is the magnitude of the angular momentum for an l=1l=1 electron? (b) Calculate the magnitude of the electron’s spin angular momentum. (c) What is the ratio of these angular momenta?

    View solution

    Problem 41

    (a) What is the magnitude of the angular momentum for an l=3l = 3 electron? (b) Calculate the magnitude of the electron’s spin angular momentum. (c) What is the ratio of these angular momenta?

    View solution

    Section 30.9: The Pauli Exclusion Principle

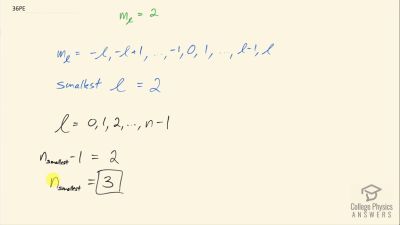
    Problem 45

    (a) What is the minimum value of ll for a subshell that has 11 electrons in it? (b) If this subshell is in the n=5n = 5 shell, what is the spectroscopic notation for this atom?

    View solution

    Problem 47

    (a) List all possible sets of quantum numbers (n,l,m,ms)\left ( n, l, m , m_s \right ) for the n=3n = 3 shell, and determine the number of electrons that can be in the shell and each of its subshells. (b) Show that the number of electrons in the shell equals 2n22n^2 and that the number in each subshell is 2(2l+1)2(2l + 1).

    View solution

    Problem 48

    Which of the following spectroscopic notations are not allowed? (a) 5s15s^1 (b) 1d11d^1 (c) 4s34s^3 (d) 3p73p^7 (e) 5g155g^{15}. State which rule is violated for each that is not allowed.

    View solution

    Problem 49

    Which of the following spectroscopic notations are allowed (that is, which violate none of the rules regarding values of quantum numbers)?
    1. 1s11s^1
    2. 1d31d^3
    3. 4s24s^2
    4. 3p73p^7
    5. 6h206h^{20}

    View solution

    Problem 50

    (a) Using the Pauli exclusion principle and the rules relating the allowed values of the quantum numbers (n,l,ml,ms)(n, l, m_l, m_s), prove that the maximum number of electrons in a subshell is 2(2l+1)2(2l+1). (b) In a similar manner, prove that the maximum number of electrons in a shell is 2n22n^2.

    View solution

    Problem 51

    Estimate the density of a nucleus by calculating the density of a proton, taking it to be a sphere 1.2 fm in diameter. Compare your result with the value estimated in this chapter.

    View solution

    Problem 52

    The electric and magnetic forces on an electron in the CRT in Figure 30.7 are supposed to be in opposite directions. Verify this by determining the direction of each force for the situation shown. Explain how you obtain the directions (that is, identify the rules used).

    View solution

    Problem 53

    (a) What is the distance between the slits of a diffraction grating that produces a first-order maximum for the first Balmer line at an angle of 20.020.0^\circ? (b) At what angle will the fourth line of the Balmer series appear in first order? (c) At what angle will the second-order maximum be for the first line?

    View solution

    Problem 54

    A galaxy moving away from the earth has a speed of 0.0100c0.0100c . What wavelength do we observe for an ni=7n_i = 7 to nf=2n_f = 2 transition for hydrogen in that galaxy?

    View solution

    Problem 55

    Calculate the velocity of a star moving relative to the earth if you observe a wavelength of 91.0 nm for ionized hydrogen capturing an electron directly into the lowest orbital (that is, a ni=n_i = \infty to nf=1n_f = 1, or a Lyman series transition).

    View solution

    Problem 56

    In a Millikan oil-drop experiment using a setup like that in Figure 30.9, a 500-V potential difference is applied to plates separated by 2.50 cm. (a) What is the mass of an oil drop having two extra electrons that is suspended motionless by the field between the plates? (b) What is the diameter of the drop, assuming it is a sphere with the density of olive oil?

    View solution

    Problem 57

    What double-slit separation would produce a first-order maximum at 3.003.00^\circ for 25.0-keV x rays? The small answer indicates that the wave character of x rays is best determined by having them interact with very small objects such as atoms and molecules.

    View solution

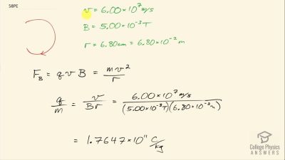
    Problem 58

    In a laboratory experiment designed to duplicate Thomson’s determination of qeme\dfrac{q_e}{m_e} , a beam of electrons having a velocity of 6.00×107 m/s6.00\times 10^{7}\textrm{ m/s} enters a 5.00×103 T5.00\times 10^{-3}\textrm{ T} magnetic field. The beam moves perpendicular to the field in a path having a 6.80-cm radius of curvature. Determine qeme\dfrac{q_e}{m_e} from these observations, and compare the result with the known value.

    View solution

    Problem 59

    Find the value of ll, the orbital angular momentum quantum number, for the moon around the earth. The extremely large value obtained implies that it is impossible to tell the difference between adjacent quantized orbits for macroscopic objects.

    View solution

    Problem 60

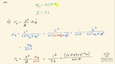
    Particles called muons exist in cosmic rays and can be created in particle accelerators. Muons are very similar to electrons, having the same charge and spin, but they have a mass 207 times greater. When muons are captured by an atom, they orbit just like an electron but with a smaller radius, since the mass in aB=h24π2mekqe2=0.529×1010 ma_\textrm{B} = \dfrac{h^2}{4\pi^2m_ekq_e^2} = 0.529\times 10^{-10}\textrm{ m} is 207me207m_e. (a) Calculate the radius of the n=1n=1 orbit for a muon in a uranium ion (Z=92Z = 92). (b) Compare this with the 7.5-fm radius of a uranium nucleus. Note that since the muon orbits inside the electron, it falls into a hydrogen-like orbit. Since your answer is less than the radius of the nucleus, you can see that the photons emitted as the muon falls into its lowest orbit can give information about the nucleus.

    View solution

    Problem 61

    Calculate the minimum amount of energy in joules needed to create a population inversion in a helium-neon laser containing 1.00×104 mols1.00\times 10^{-4}\textrm{ mols} of neon.

    View solution

    Problem 62

    A carbon dioxide laser used in surgery emits infrared radiation with a wavelength of 10.6 μm10.6\textrm{ }\mu\textrm{m}. In 1.00 ms1.00\textrm{ ms} this laser raised the temperature of 1.00 cm31.00\textrm{ cm}^3 of flesh to 100C100^\circ\textrm{C} and evaporated it. (a) How many photons were required? You may assume flesh has the same heat of vaporization as water. (b) What was the minimum power output during the flash?

    View solution

    Problem 63

    Suppose an MRI scanner uses 100-MHz radio waves. (a) Calculate the photon energy. (b) How does this compare to typical molecular binding energies?

    View solution

    Problem 64

    (a) An excimer laser used for vision correction emits 193-nm UV. Calculate the photon energy in eV. (b) These photons are used to evaporate corneal tissue, which is very similar to water in its properties. Calculate the amount of energy needed per molecule of water to make the phase change from liquid to gas. That is, divide the heat of vaporization in kJ/kg by the number of water molecules in a kilogram. (c) Convert this to eV and compare to the photon energy. Discuss the implications.

    View solution

    Problem 65

    A neighboring galaxy rotates on its axis so that stars on one side move toward us as fast as 200 km/s, while those on the other side move away as fast as 200 km/s. This causes the EM radiation we receive to be Doppler shifted by velocities over the entire range of ±200 km/s. What range of wavelengths will we observe for the 656.0-nm line in the Balmer series of hydrogen emitted by stars in this galaxy. (This is called line broadening.)

    View solution

    Problem 66

    A pulsar is a rapidly spinning remnant of a supernova. It rotates on its axis, sweeping hydrogen along with it so that hydrogen on one side moves toward us as fast as 50.0 km/s, while that on the other side moves away as fast as 50.0 km/s. This means that the EM radiation we receive will be Doppler shifted over a range of ±50.0 km/s\pm 50.0\textrm{ km/s}. What range of wavelengths will we observe for the 91.20-nm line in the Lyman series of hydrogen? (Such line broadening is observed and actually provides part of the evidence for rapid rotation.)

    View solution

    Problem 67

    Prove that the velocity of charged particles moving along a straight path through perpendicular electric and magnetic fields is v=EBv = \dfrac{\textrm{E}}{\textrm{B}} . Thus crossed electric and magnetic fields can be used as a velocity selector independent of the charge and mass of the particle involved.

    View solution

    Problem 68

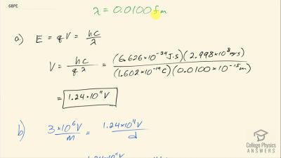
    (a) What voltage must be applied to an X-ray tube to obtain 0.0100-fm-wavelength X-rays for use in exploring the details of nuclei? (b) What is unreasonable about this result? (c) Which assumptions are unreasonable or inconsistent?

    View solution

    Problem 69

    A student in a physics laboratory observes a hydrogen spectrum with a diffraction grating for the purpose of measuring the wavelengths of the emitted radiation. In the spectrum, she observes a yellow line and finds its wavelength to be 589 nm. (a) Assuming this is part of the Balmer series, determine nin_i , the principal quantum number of the initial state. (b) What is unreasonable about this result? (c) Which assumptions are unreasonable or inconsistent?

    View solution