Question
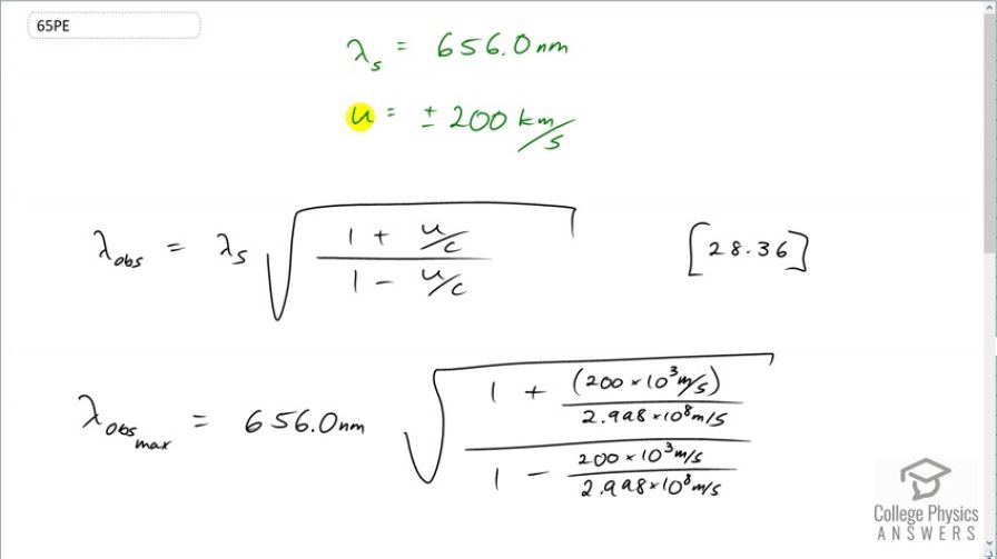
A neighboring galaxy rotates on its axis so that stars on one side move toward us as fast as 200 km/s, while those on the other side move away as fast as 200 km/s. This causes the EM radiation we receive to be Doppler shifted by velocities over the entire range of ±200 km/s. What range of wavelengths will we observe for the 656.0-nm line in the Balmer series of hydrogen emitted by stars in this galaxy. (This is called line broadening.)
Final Answer
from 655.6 nm to 656.4 nm.
Solution video
OpenStax College Physics, Chapter 30, Problem 65 (Problems & Exercises)

vote with a rating of
votes with an average rating of
.
Calculator Screenshots
Video Transcript
This is College Physics Answers with Shaun Dychko. We know hydrogen atoms are emitting a wavelength of 656.0 nanometers and one side of this galaxy is moving towards us at 200 kilometers per second and the other side's moving away from us at the same speed. So the observed wavelength for this particular transition in the Balmer series is going to be Doppler-shifted as a result of being on this moving galaxy. And on one side, it will be moving towards us at 200 and the other side is moving away from us and so we are gonna get Doppler shifts in both directions. So the maximum wavelength that will be observed will be as a result of the side of the galaxy that's moving away from us and so we have positive 200 times 10 to the 3 meters per second is going to be the velocity when it's moving away from us. And so we have the source wavelength times square root of 1 plus the velocity divided by the speed of light divided by 1 minus that velocity divided by speed of light and we end up with a maximum observed wavelength of 656.4 nanometers. So this side of the galaxy is going to be red-shifted; the wavelength is going to be observed to be bigger than what is actually been produced. And on the side of the galaxy moving towards us, remember that we are looking at the edge of the galaxy right and so one side's moving towards us which these arrow points representing hydrogen atoms moving towards us and then the other side of the galaxy, there's hydrogen atoms moving away from us and here's the center of the galaxy which is not moving at all. OK. So the minimum observed wavelength then is going to be the source wavelength times square root of 1 plus negative 200 times 10 to the 3 meters per second divided by speed of light over 1 minus negative 200 times 10 to the 8 meters per second over speed of light and that gives 655.6 nanometers. So this line broadening will result in wavelength that we see anywhere from 655.6 nanometers up to 656.4 nanometers.