Question
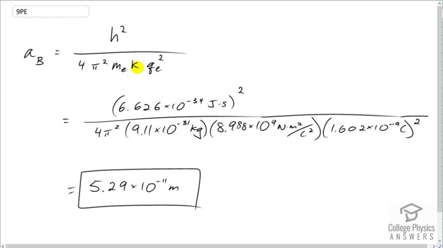
Look up the values of the quantities in , and verify that the Bohr radius is .
Final Answer
Please see the solution video.
Solution video
OpenStax College Physics, Chapter 30, Problem 9 (Problems & Exercises)

vote with a rating of
votes with an average rating of
.
Calculator Screenshots
Video Transcript
This is College Physics Answers with Shaun Dychko. The Bohr radius is Planck's constant squared divided by 4 times π squared times the mass of an electron times Coulomb's constant times the elementary charge squared. So we substitute for each of these constants and then get our answer; 5.29 times 10 to the minus 11 meters is the Bohr radius.