Question
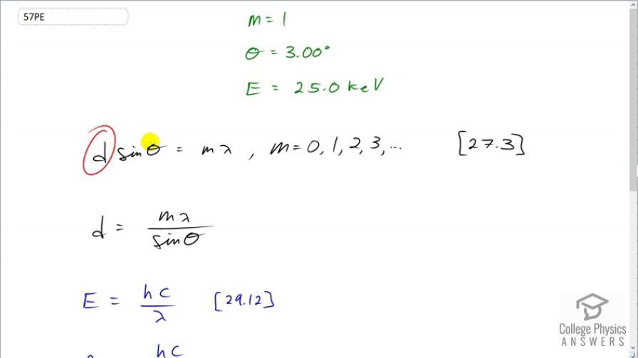
What double-slit separation would produce a first-order maximum at for 25.0-keV x rays? The small answer indicates that the wave character of x rays is best determined by having them interact with very small objects such as atoms and molecules.
Final Answer
Solution video
OpenStax College Physics, Chapter 30, Problem 57 (Problems & Exercises)

vote with a rating of
votes with an average rating of
.
Calculator Screenshots
Video Transcript
This is College Physics Answers with Shaun Dychko. Equation [27.3] tells us what the slit separation should be for a particular angle to a maximum and the order and the wavelength. So the energy we are told for these x-rays is 25 kiloelectron volts and we'll have to use this information to figure out what the wavelength is. And the order of the maximum is the first order so that means m is 1 and the angle to it is meant to be 3 degrees. So we'll solve this for d; the distance between the slits by dividing both sides by sin Θ. So d is mλ over sin Θ and then we use this equation [29.12] to relate the wavelength to the energy. So the energy of the photons are Planck's constant times speed of light divided by wavelength and we solve this for λ by multiplying both sides by λ over E. And so we get λ is hc over E which we then substitute in for λ in this formula. So the slit separation is mhc over E sin Θ. So the order is 1; hc is 1240 electron volt nanometers that's [29.14] told us that we can write hc like that and that's convenient because the energy of the photons is given to us in units of electron volts which then cancel with these electron volts and so we are dividing by 25 times 10 to the 3 electron volts times sin of 3 degrees and we are left with units of nanometers that is 0.948 nanometers should be the distance between the slits which is a very small number small distance and this indicates that x-rays have a wave nature that's more easily observed with really tiny things like atoms and molecules and so on.