Question
(a) What voltage will accelerate electrons to a speed of ? (b) Find the radius of curvature of the
path of a proton accelerated through this potential in a 0.500-T field and compare this with the radius of curvature of an electron accelerated through the same potential.
Final Answer
- , which is 42.8 times the radius of curvature that would be followed by an electron accelerated through the same potential perpendicular to the same field.
Solution video
OpenStax College Physics for AP® Courses, Chapter 22, Problem 74 (Problems & Exercises)

vote with a rating of
votes with an average rating of
.
Calculator Screenshots
Video Transcript
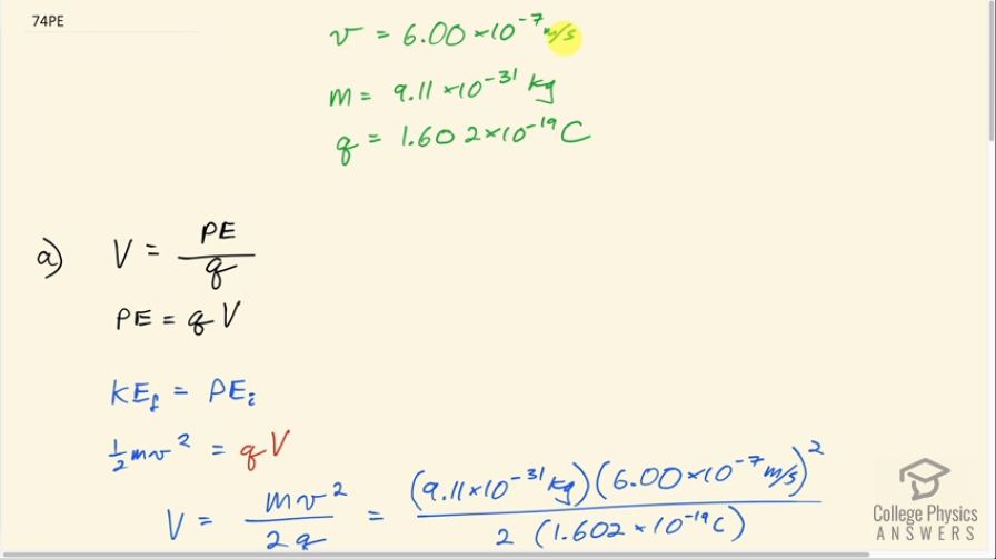
This is College Physics Answers with Shaun Dychko. We want to know what voltage will accelerate an electron to a speed of 6.00 times 10 to the minus 7 meters per second; another piece of information we will need to know is the mass of the electron, which is 9.11 times 10 to the minus 31 kilograms, and its charge 1.602 times 10 to the minus 19 coulombs. So potential difference is the potential energy per charge and we can find the potential energy by multiplying both sides by q here and we have that the initial potential energy that the electrons have is its charge times the voltage and the final kinetic energy is gonna equal the initial potential energy so that's one-half mv squared—final kinetic energy for the electron— equals q times voltage. So we can solve for V by dividing both sides by q and the voltage then is the mass of the electron times its final speed squared divided by 2 times its charge. So here's mass of the electron, its final speed squared divided by 2 times the elementary charge and that's 1.02 times 10 to the minus 24 volts. Part (b) asks find the radius of curvature of the path of a proton accelerated through this voltage in a field of 0.50 tesla. So the centripetal acceleration is gonna be mv squared over r and that's going to equal the force due to the magnetic field on the moving charge and we can solve for r by multiplying both sides by r over qvB and then switch the sides around and so r equals mass times speed divided by charge times magnetic field strength. So for a proton, we need the mass of the proton and the speed of the proton divided by the charge times the magnetic field. But the speed of the proton, we need to figure that out using the same work we did in part (a) so the kinetic energy of the proton is going to equal its initial potential energy and this works out to v P squared equals 2qV over m P because we multiply both sides by 2 over m P here and then take the square root of both sides to get the final speed of the proton and then that's something that we can substitute in for v P in our radius of curvature formula. And we have m P divided by m P to the power of a half basically because it's in the square root sign which makes square root m P and that's why it's underneath the square root sign here and likewise for q. So we have the radius of curvature for the proton then is 1 over the magnetic field strength times square root of 2 times the proton's mass times the voltage through which it is accelerated divided by its charge. So this is 1 over 0.500 tesla times square root of 2 times the mass of a proton— 1.67 times 10 to the minus 27 kilograms— times the voltage we found in part (a) divided by the elementary charge and this is 2.92 times 10 to the minus 16 meters. The question also asks us to compare this radius of curvature to that of an electron accelerated through the same potential. So we have this formula for the radius of curvature of the proton and we can divide that by the radius of curvature for an electron— it's a good way to compare things by dividing them. So we have 1 over B times square root of 2 times mass of the proton times voltage divided by charge all over the same formula with the same factors with the exception that you have mass of an electron here instead of mass of the proton and all this works out to square root of the ratio of the masses. So that's square root of 1.67 times 10 to the minus 27 kilograms divided by 9.11 times 10 to the minus 31 kilograms and this is 42.8. So the radius of curvature of the proton is 42.8 times that of the electron.