Question
Using information in Example 20.3, what would the Hall voltage be if a 2.00-T field is applied across a 10-gauge copper wire (2.588 mm in diameter) carrying a 20.0-A current?
Final Answer
Solution video
OpenStax College Physics for AP® Courses, Chapter 22, Problem 28 (Problems & Exercises)

vote with a rating of
votes with an average rating of
.
Calculator Screenshots
Video Transcript
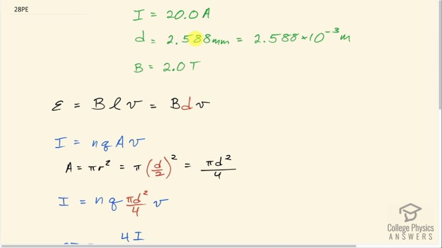
This is College Physics Answers with Shaun Dychko. We have a 10 gauge copper wire, which means it has a diameter of 2.588 millimeters and it's carrying 20.0 amps of current in a magnetic field that's perpendicular to the wire of magnitude 2.0 tesla and the question is estimate what the Hall voltage would be across the diameter of this wire. So if the wire is like this and it's carrying current in this direction and there's a certain drift velocity to the charge carriers—the electrons, in other words— and that's the velocity that is responsible for this Hall voltage and there is a magnetic field perpendicular to this velocity and what would the Hall voltage be? So there's gonna be charge carriers in this picture with your fingers pointing down into the page and your thumb pointing to the right; if it's electrons that are moving this way, they are going to experience a force opposite to what the palm is facing and so that will be down the page so we will have negative electrons collect down on this end and then up here, we'll have a deficiency of electrons because they are gonna come from the top towards the bottom leaving behind their atoms that have one less electron than neutral so there's gonna be a net positive charge on those atoms there and this is responsible for the voltage so that's the Hall effect. Alright! So this Hall voltage would be the magnetic field strength times the separation between the two sides of the wire—it's diameter, in other words— and so I am replacing the letter l with the letter d in our formula just to illustrate that it's diameter and then multiply by the drift velocity of these electrons. So we have to look back to example [20.3] to get information that we need to find this drift velocity. So here's the formula for drift velocity from chapter 20: it's the density of the charge carriers in the material so this is copper and multiplied by the charge on each charge carrier, which for copper is just 1, and then multiply by the cross-sectional area of the wire times the drift velocity and we can solve this for the drift velocity v and that's what we'll substitute in here for our Hall voltage. So the cross-sectional area of the wire is π times its radius squared but we don't know the radius but we do know the diameter so we will take half the diameter and substitute that in for radius, square that and we have πd squared over 4 is the area, which we can then substitute into this formula and then solve this for v by multiplying both sides by 4 over charge density times the charge per charge carrier times π times diameter squared. Okay! And then do that on the other side as well and you have the drift velocity then is 4 times the current divided by nqπd squared. So this is what we'll substitute in for v in our formula for the Hall voltage right here. So I have rewritten the Hall voltage formula with 4I over nqπd squared in place of v. So this d here cancels with one of the d's there leaving us with d to the power of 1 on the bottom. An example of [20.3] was really needed to get the density of the charge carriers in copper, which is 8.342 times 10 to the 28 electrons per cubic meter. Then we multiply by the charge in each of those charge carriers, which is the elementary charge because it's a single electron so times by 1.60 times 10 to the minus 19 coulombs times π times the diameter— 2.588 millimeters, which is times 10 to the minus 3 meters— and all that gets divided into 4 times 20.0 amps times 2.00 tesla and that works out to 1.47 microvolts will be the Hall voltage.