Question
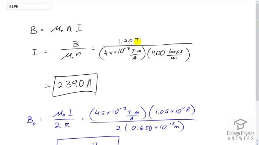
To see why an MRI utilizes iron to increase the magnetic field created by a coil, calculate the current needed in a 400-loop-per-meter circular coil 0.660 m in radius to create a 1.20-T field (typical of an MRI instrument) at its center with no iron present. The magnetic field of a proton is approximately like that of a circular current loop in radius carrying . What is the field at the center of such
a loop?
Final Answer
1.01 \times 10^{13} \textrm{T}
Solution video
OpenStax College Physics for AP® Courses, Chapter 22, Problem 61 (Problems & Exercises)

vote with a rating of
votes with an average rating of
.
Calculator Screenshots
Video Transcript
This is College Physics Answers with Shaun Dychko. We're going to find the current that's needed in an MRI machine to create a magnetic field of 1.2 Tesla but assuming that there is no iron core and that we just have free space. So we use permeability of free space instead of the permeability of some you know, ferro-magnetic material which would increase the permeability. So we divide both sides of this formula for the magnetic field inside of a solenoid by mu naught and then the number of turns per meter, n. Then we have I equals B over mu naught n. So that's 1.2 Tesla divided by four pi times ten to the minus seven Tesla meters per amp, times four hundred loops per meter. This gives 2390 amps which is a massively high current and so that's why they like to use an iron core inside the solenoid of an MRI machine in order to increase this permeability and thereby decrease the current. They also use super-conducting wires so that, you know -- because even if you increase this number you're still going to have a large current and that reduces the power loss and the amount of heat generated by having super-conducting wires. This question also asks us to find out what magnetic field is produced by the spin of a proton. So the spin can be modeled as a circular loop with this current and this radius, and so we plug those numbers into our mu naught I over two r formula for the magnetic field due to the current carrying loop. So that's permeability of free space times 1.05 times ten to the four amps, divided by two times 0.65 femto-meters which is times ten to the minus fifteen meters. This gives 1.01 times ten to the thirteen Tesla.