Question
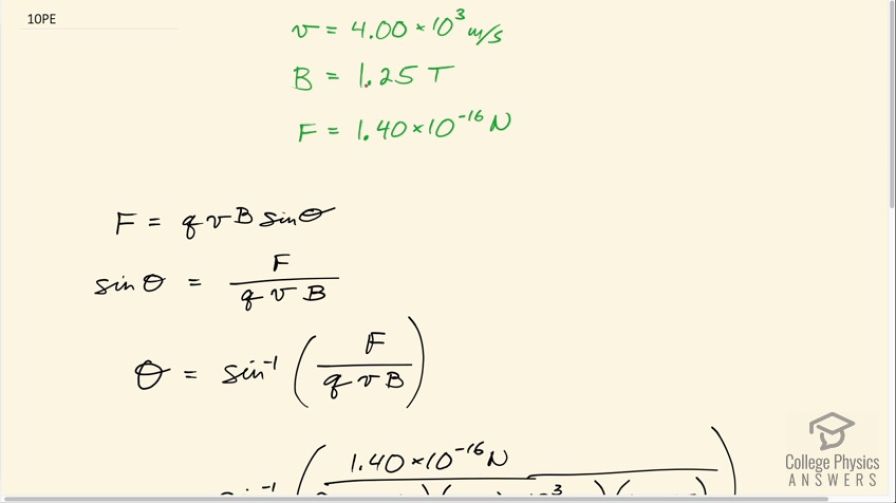
An electron moving at in a 1.25-T magnetic field experiences a magnetic force of . What angle does the velocity of the electron make with the magnetic field? There are two answers.
Final Answer
or .
While the video shows , is the better answer since is an exact number with no effect on significant figures or rounding, whereas the subtracted from it is significant to the ones place, which makes the answer also significant to the ones place.
Solution video
OpenStax College Physics for AP® Courses, Chapter 22, Problem 10 (Problems & Exercises)

vote with a rating of
votes with an average rating of
.
Calculator Screenshots
Video Transcript
This is College Physics Answers with Shaun Dychko. An electron is moving at 4.00 times 10 to the 3 meters per second in a magnetic field with strength 1.25 tesla and a force of 1.40 times 10 to the minus 16 newtons is being applied on this moving charge and from all this information, we need to figure out what is the angle between the velocity and the magnetic field? We also know the charge... I didn't write it down but the charge is the elementary charge on an electron— 1.60 times 10 to the minus 19 coulombs. So force is the charge times the speed times the magnetic field strength times sin of the angle between them and we can solve this for sin Θ by dividing both sides by qvB. So sin Θ is force divided by charge times speed times magnetic field strength and then we take the inverse sin of both sides to figure out the angle Θ. So Θ is the inverse sin of F over qvB and so we plug in numbers: inverse sin of 1.40 times 10 to the minus 16 newtons divided by the charge times the speed times the magnetic field strength and we get 10.1 degrees but that's not the end of the story because this is the picture for which this is the solution; we have the velocity somewhat to the right when the magnetic field is to the right and this would be an angle between them of 10.1 degrees but the same magnitude force would occur if the velocity were almost anti-parallel to the magnetic field such that this, you know, reference angle which is what your calculator tells you the smallest angle that gives the solution this reference angle is 10.1 or 10.0787 degrees but the angle Θ is gonna start from this magnetic field and go all the way to the velocity vector. So this is a 180 degrees minus this 10.0787 degrees and this works out to 170 degrees.