Chapter 22

Chapter thumbnail
The magnificent spectacle of the Aurora Borealis, or northern lights, glows in the northern sky above Bear Lake near Eielson Air Force Base, Alaska. Shaped by the Earth’s magnetic field, this light is produced by radiation spewed from solar storms.

Chapter 22 : Magnetism - all with Video Solutions

Problems & Exercises

Section 22.4: Magnetic Field Strength: Force on a Moving Charge in a Magnetic Field

Problem 2

What is the direction of the magnetic force on a negative charge that moves as shown in each of the six cases shown in Figure 22.50?

View solution

Problem 3

What is the direction of the velocity of a negative charge that experiences the magnetic force shown in each of the three cases in Figure 22.57, assuming it moves perpendicular to BB.

View solution

Problem 4

What is the direction of the velocity of a positive charge that experiences the magnetic force shown in each of the three cases in Figure 22.51, assuming it moves perpendicular to BB?

View solution

Problem 5

What is the direction of the magnetic field that produces the magnetic force on a positive charge as shown in each of the three cases in the figure below, assuming BB is perpendicular to vv?

View solution

Problem 6

What is the direction of the magnetic field that produces the magnetic force on a negative charge as shown in each of the three cases in the figure below, assuming BB is perpendicular to vv?

View solution

Problem 7

What is the maximum force on an aluminum rod with a 0.100μC0.100 \mu\textrm{C} charge that you pass between the poles of a 1.50 T permanent magnet at a speed of 5.00 m/s? In what direction is the force?

View solution

Problem 8

(a) Aircraft sometimes acquire small static charges. Suppose a supersonic jet has a 0.500 μC0.500\textrm{ }\mu\textrm{C} charge and flies due west at a speed of 660 m/s over the Earth’s magnetic south pole (near Earth's geographic north pole), where the 8.00×105 T8.00\times 10^{-5}\textrm{ T} magnetic field points straight down. What are the direction and the magnitude of the magnetic force on the plane? (b) Discuss whether the value obtained in part (a) implies this is a significant or negligible effect.

View solution

Problem 9

(a) A cosmic ray proton moving toward the Earth at 5.00×107 m/s5.00 \times 10^7 \textrm{ m/s} experiences a magnetic force of 1.70×1016 N1.70 \times 10^{-16} \textrm{ N} . What is the strength of the magnetic field if there is a 4545^\circ angle between it and the proton’s velocity? (b) Is the value obtained in part (a) consistent with the known strength of the Earth’s magnetic field on its surface? Discuss.

View solution

Problem 10

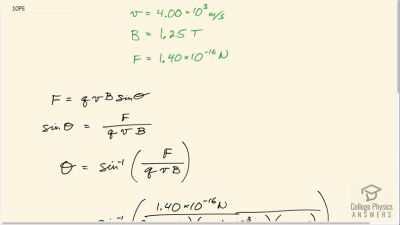
An electron moving at 4.00×103 m/s4.00\times 10^{3}\textrm{ m/s} in a 1.25-T magnetic field experiences a magnetic force of 1.40×1016 N1.40\times 10^{-16}\textrm{ N} . What angle does the velocity of the electron make with the magnetic field? There are two answers.

View solution

Problem 11

(a) A physicist performing a sensitive measurement wants to limit the magnetic force on a moving charge in her equipment to less than 1.00×1012 N1.00 \times 10^{-12} \textrm{ N}. What is the greatest the charge can be if it moves at a maximum speed of 30.0 m/s in the Earth’s field? (b) Discuss whether it would be difficult to limit the charge to less than the value found in (a) by comparing it with typical static electricity and noting that static is often absent.

View solution

Section 22.5: Force on a Moving Charge in a Magnetic Field: Examples and Applications

Problem 12

A cosmic ray electron moves at 7.50×106 m/s7.50\times 10^{6}\textrm{ m/s} perpendicular to the Earth’s magnetic field at an altitude where field strength is 1.00×105 T1.00\times 10^{-5}\textrm{ T} . What is the radius of the circular path the electron follows?

View solution

Problem 13

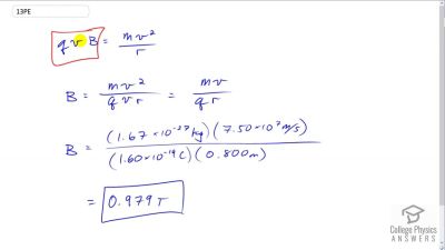
A proton moves at 7.50×107 m/a7.50 \times 10^7 \textrm{ m/a} perpendicular to a magnetic field. The field causes the proton to travel in a circular path of radius 0.800 m. What is the field strength?

View solution

Problem 14

(a) Viewers of Star Trek hear of an antimatter drive on the Starship Enterprise. One possibility for such a futuristic energy source is to store antimatter charged particles in a vacuum chamber, circulating in a magnetic field, and then extract them as needed. Antimatter annihilates with normal matter, producing pure energy. What strength magnetic field is needed to hold antiprotons, moving at 5.00×107 m/s5.00\times 10^{7}\textrm{ m/s} in a circular path 2.00 m in radius? Antiprotons have the same mass as protons but the opposite (negative) charge. (b) Is this field strength obtainable with today’s technology or is it a futuristic possibility?

View solution

Problem 15

(a) An oxygen-16 ion with a mass of 2.66×1026 kg2.66 \times 10^{-26} \textrm{ kg} travels at 5.00×106 m/s5.00 \times 10^6 \textrm{ m/s} perpendicular to a 1.20-T magnetic field, which makes it move in a circular arc with a 0.231-m radius. What positive charge is on the ion? (b) What is the ratio of this charge to the charge of an electron? (c) Discuss why the ratio found in (b) should be an integer.

View solution

Problem 17

A velocity selector in a mass spectrometer uses a 0.100-T magnetic field. (a) What electric field strength is needed to select a speed of 4.00×106 m/s4.00 \times 10^6 \textrm{ m/s}? (b) What is the voltage between the plates if they are separated by 1.00 cm?

View solution

Problem 18

An electron in a TV CRT moves with a speed of 6.00×107 m/s6.00\times 10^{7}\textrm{ m/s} , in a direction perpendicular to the Earth’s field, which has a strength of 5.00×105 T5.00\times 10^{-5}\textrm{ T} . (a) What strength electric field must be applied perpendicular to the Earth’s field to make the electron moves in a straight line? (b) If this is done between plates separated by 1.00 cm, what is the voltage applied? (Note that TVs are usually surrounded by a ferromagnetic material to shield against external magnetic fields and avoid the need for such a correction.)

View solution

Problem 19

(a) At what speed will a proton move in a circular path of the same radius as the electron in Exercise 22.12? (b) What would the radius of the path be if the proton had the same speed as the electron? (c) What would the radius be if the proton had the same kinetic energy as the electron? (d) The same momentum?

View solution

Problem 20

A mass spectrometer is being used to separate common oxygen-16 from the much rarer oxygen-18, taken from a sample of old glacial ice. (The relative abundance of these oxygen isotopes is related to climatic temperature at the time the ice was deposited.) The ratio of the masses of these two ions is 16 to 18, the mass of oxygen-16 is 2.66×1026 kg2.66\times 10^{-26}\textrm{ kg}, and they are singly charged and travel at 5.00×106 m/s5.00\times 10^{6}\textrm{ m/s} in a 1.20-T magnetic field. What is the separation between their paths when they hit a target after traversing a semicircle?

View solution

Problem 21

(a) Triply charged uranium-235 and uranium-238 ions are being separated in a mass spectrometer. (The much rarer uranium-235 is used as reactor fuel.) The masses of the ions are 3.90×1025 kg3.90 \times 10^{-25} \textrm{ kg} and 3.95×1025 kg3.95 \times 10^{-25} \textrm{ kg}, respectively, and the travel at 3.00×105 m/s3.00 \times 10^5 \textrm{ m/s} in a 0.250 T0.250 \textrm{ T} field. What is the separation between their paths when they hit a target after traversing a semicircle? (b) Discuss whether this distance between their paths seems to be big enough to be practical in the separation of uranium-235 from uranium-238.

View solution

Section 22.6: The Hall Effect

Problem 22

A large water main is 2.50 m in diameter and the average water velocity is 6.00 m/s. Find the Hall voltage produced if the pipe runs perpendicular to the Earth’s 5.00×105 T5.00\times 10^{-5}\textrm{ T} field.

View solution

Problem 24

(a) What is the speed of a supersonic aircraft with a 17.0-m wingspan, if it experiences a 1.60-V Hall voltage between its wing tips when in level flight over the north magnetic pole, where the Earth’s field strength is 8.00×105 T8.00\times 10^{-5}\textrm{ T}? (b) Explain why very little current flows as a result of this Hall voltage.

View solution

Problem 25

A nonmechanical water meter could utilize the Hall effect by applying a magnetic field across a metal pipe and measuring the Hall voltage produced. What is the average fluid velocity in a 3.00-cm-diameter pipe, if a 0.500-T field across it creates a 60.0-mV Hall voltage?

View solution

Problem 26

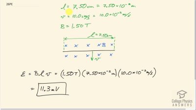
Calculate the Hall voltage induced on a patient’s heart while being scanned by an MRI unit. Approximate the conducting path on the heart wall by a wire 7.50 cm long that moves at 10.0 cm/s perpendicular to a 1.50-T magnetic field.

View solution

Problem 27

A Hall probe calibrated to read 1.00μV1.00 \mu \textrm{V} when placed in a 2.00-T field is placed in a 0.150-T field. What is its output voltage?

View solution

Problem 29

Show that the Hall voltage across wires made of the same material, carrying identical currents, and subjected to the same magnetic field is inversely proportional to their diameters. (Hint: Consider how drift velocity depends on wire diameter.)

View solution

Problem 30

A patient with a pacemaker is mistakenly being scanned for an MRI image. A 10.0-cm-long section of pacemaker wire moves at a speed of 10.0 cm/s perpendicular to the MRI unit’s magnetic field and a 20.0-mV Hall voltage is induced. What is the magnetic field strength?

View solution

Section 22.7: Magnetic Force on a Current-Carrying Conductor

Problem 32

What is the direction of a current that experiences the magnetic force shown in each of the three cases in Figure 22.54, assuming the current runs perpendicular to BB?

View solution

Problem 33

What is the direction of the magnetic field that produces the magnetic force shown on the currents in each of the three cases in Figure 22.61, assuming BB is perpendicular to II?

View solution

Problem 34

(a) What is the force per meter on a lightning bolt at the equator that carries 20,000 A perpendicular to the Earth’s 3.00×105 T3.00\times 10^{-5}\textrm{ T} field? (b) What is the direction of the force if the current is straight up and the Earth’s field direction is due north, parallel to the ground?

View solution

Problem 35

(a) A DC power line for a light-rail system carries 1000 A at an angle of 30.030.0^\circ to the Earth’s 5.00×105 T5.00 \times 10^{-5} \textrm{ T} field. What is the force on a 100-m section of this line? (b) Discuss practical concerns this presents, if any.

View solution

Problem 36

What force is exerted on the water in an MHD drive utilizing a 25.0-cm-diameter tube, if 100-A current is passed across the tube that is perpendicular to a 2.00-T magnetic field? (The relatively small size of this force indicates the need for very large currents and magnetic fields to make practical MHD drives.)

View solution

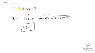
Problem 37

A wire carrying a 30.0-A current passes between the poles of a strong magnet that is perpendicular to its field and experiences a 2.16-N force on the 4.00 cm of wire in the field. What is the average field strength?

View solution

Problem 38

(a) A 0.750-m-long section of cable carrying current to a car starter motor makes an angle of 6060^\circ with the Earth’s 5.50×105 T5.50\times 10^{-5}\textrm{ T} field. What is the current when the wire experiences a force of 7.00×103 N7.00\times 10^{-3}\textrm{ N} ? (b) If you run the wire between the poles of a strong horseshoe magnet, subjecting 5.00 cm of it to a 1.75-T field, what force is exerted on this segment of wire?

View solution

Problem 39

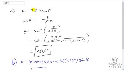
(a) What is the angle between a wire carrying an 8.00-A current and the 1.20-T field it is in if 50.0 cm of the wire experiences a magnetic force of 2.40 N? (b) What is the force on the wire if it is rotated to make an angle of 9090^\circ with the field?

View solution

Problem 40

The force on the rectangular loop of wire in the magnetic field in Figure 22.56 can be used to measure field strength. The field is uniform, and the plane of the loop is perpendicular to the field. (a) What is the direction of the magnetic force on the loop? Justify the claim that the forces on the sides of the loop are equal and opposite, independent of how much of the loop is in the field and do not affect the net force on the loop. (b) If a current of 5.00 A is used, what is the force per tesla on the 20.0-cm-wide loop?

View solution

Section 22.8: Torque on a Current Loop: Motos and Meters

Problem 41

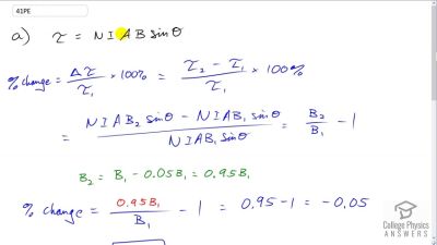
(a) By how many percent is the torque of a motor decreased if its permanent magnets lose 5.0% of their strength? (b) How many percent would the current need to be increased to return the torque to original values?

View solution

Problem 42

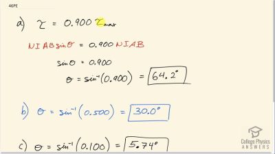
(a) What is the maximum torque on a 150-turn square loop of wire 18.0 cm on a side that carries a 50.0-A current in a 1.60-T field? (b) What is the torque when θ\theta is 10.910.9^\circ?

View solution

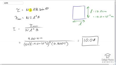
Problem 43

Find the current through a loop needed to create a maximum torque of 9.00 Nm9.00 \textrm{ N}\cdot\textrm{m} The loop has 50 square turns that are 15.0 cm on a side and is in a uniform 0.800-T magnetic field.

View solution

Problem 44

Calculate the magnetic field strength needed on a 200-turn square loop 20.0 cm on a side to create a maximum torque of 300 Nm300\textrm{ N}\cdot\textrm{m} if the loop is carrying 25.0 A.

View solution

Problem 45

Since the equation for torque on a current-carrying loop is τ=NIABsin(θ)\tau = NIAB \sin(\theta), the units of Nm\textrm{N} \cdot \textrm{m} must equal units of Am2T\textrm{A} \cdot \textrm{m}^2 \cdot \textrm{T}. Verify this.

View solution

Problem 47

A proton has a magnetic field due to its spin on its axis. The field is similar to that created by a circular current loop 0.650×1015 m0.650 \times 10^{-15} \textrm{ m} in radius with a current of 1.05×104 A1.05 \times 10^4 \textrm{ A} (no kidding). Find the maximum torque on a proton in a 2.50 T2.50 \textrm{ T} field. (This is a significant torque on a small particle.)

View solution

Problem 48

(a) A 200-turn circular loop of radius 50.0 cm is vertical, with its axis on an east-west line. A current of 100 A circulates clockwise in the loop when viewed from the east. The Earth’s field here is due north, parallel to the ground, with a strength of 3.00×105 T3.00\times 10^{-5}\textrm{ T} . What are the direction and magnitude of the torque on the loop? (b) Does this device have any practical applications as a motor?

View solution

Problem 49

Repeat Exercise 22.48, but with the loop lying flat on the ground with its current circulating counterclockwise (when viewed from above) in a location where the Earth’s field is north, but at an angle 45.045.0^\circ below the horizontal and with a strength of 6.00×105 T6.00 \times 10^{-5} \textrm{ T}.

Exercise 22.48

(a) A 200-turn circular loop of radius 50.0 cm is vertical, with its axis on an east-west line. A current of 100 A circulates clockwise in the loop when viewed from the east. The Earth’s field here is due north, parallel to the ground, with a strength of 3.00×105 T3.00 \times 10^{-5} \textrm{ T} . What are the direction and magnitude of the torque on the loop? (b) Does this device have any practical applications as a motor?

View solution

Section 22.10: Magnetic Force between Two Parallel Conductors

Problem 50

(a) The hot and neutral wires supplying DC power to a light-rail commuter train carry 800 A and are separated by 75.0 cm. What is the magnitude and direction of the force between 50.0 m of these wires? (b) Discuss the practical consequences of this force, if any.

View solution

Problem 51

The force per meter between the two wires of a jumper cable being used to start a stalled car is 0.225 N/m. (a) What is the current in the wires, given they are separated by 2.00 cm? (b) Is the force attractive or repulsive?

View solution

Problem 52

A 2.50-m segment of wire supplying current to the motor of a submerged submarine carries 1000 A and feels a 4.00-N repulsive force from a parallel wire 5.00 cm away. What is the direction and magnitude of the current in the other wire?

View solution

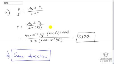
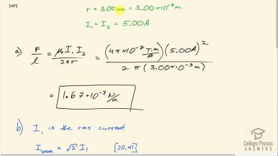
Problem 53

The wire carrying 400 A to the motor of a commuter train feels an attractive force of 4.00×103 N/m4.00 \times 10^{-3} \textrm{ N/m} due to a parallel wire carrying 5.00 A to a headlight. (a) How far apart are the wires? (b) Are the currents in the same direction?

View solution

Problem 54

An AC appliance cord has its hot and neutral wires separated by 3.00 mm and carries a 5.00-A current. (a) What is the average force per meter between the wires in the cord? (b) What is the maximum force per meter between the wires? (c) Are the forces attractive or repulsive? (d) Do appliance cords need any special design features to compensate for these forces?

View solution

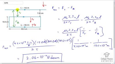
Problem 55

Figure 22.63 shows a long straight wire near a rectangular current loop. What is the direction and magnitude of the total force on the loop?

View solution

Section 22.11: More Applications of Magnetism

Problem 58

Indicate whether the magnetic field created in each of the three situations shown in Figure 22.59 is into or out of the page on the left and right of the current.

View solution

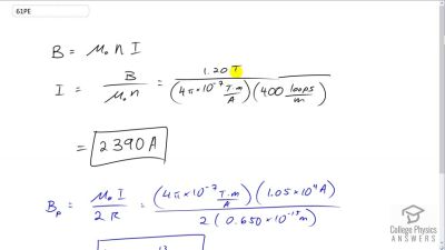
Problem 61

To see why an MRI utilizes iron to increase the magnetic field created by a coil, calculate the current needed in a 400-loop-per-meter circular coil 0.660 m in radius to create a 1.20-T field (typical of an MRI instrument) at its center with no iron present. The magnetic field of a proton is approximately like that of a circular current loop 0.650×1015 m0.650 \times 10^{-15} \textrm{ m} in radius carrying 1.05×104 A1.05 \times 10^4 \textrm{ A}. What is the field at the center of such a loop?

View solution

Problem 62

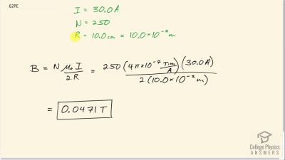
Inside a motor, 30.0 A passes through a 250-turn circular loop that is 10.0 cm in radius. What is the magnetic field strength created at its center?

View solution

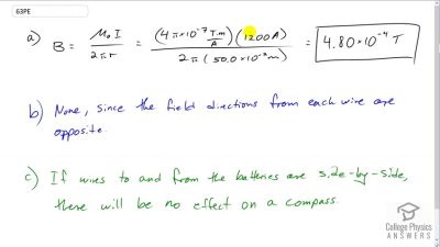
Problem 63

Nonnuclear submarines use batteries for power when submerged. (a) Find the magnetic field 50.0 cm from a straight wire carrying 1200 A from the batteries to the drive mechanism of a submarine. (b) What is the field if the wires to and from the drive mechanism are side by side? (c) Discuss the effects this could have for a compass on the submarine that is not shielded.

View solution

Problem 65

What current is needed in the solenoid described in Exercise 22.58 to produce a magnetic field 10410^4 times the Earth’s magnetic field of 5.00×105 T5.00 \times 10^{-5} \textrm{ T}?

View solution

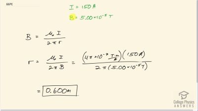
Problem 66

How far from the starter cable of a car, carrying 150 A, must you be to experience a field less than the Earth’s (5.00×105 T5.00\times 10^{-5}\textrm{ T})? Assume a long straight wire carries the current. (In practice, the body of your car shields the dashboard compass.)

View solution

Problem 67

Measurements affect the system being measured, such as the current loop in Figure 22.62. (a) Estimate the field the loop creates by calculating the field at the center of a circular loop 20.0 cm in diameter carrying 5.00 A. (b) What is the smallest field strength this loop can be used to measure, if its field must alter the measured field by less than 0.0100%?

View solution

Problem 68

Figure 22.62 shows a long straight wire just touching a loop carrying a current I1I_1. Both lie in the same plane. (a) What direction must the current I2I_2 in the straight wire have to create a field at the center of the loop in the direction opposite to that created by the loop? (b) What is the ratio of dfracI1I2dfrac{I_1}{I_2} that gives zero field strength at the center of the loop? (c) What is the direction of the field directly above the loop under this circumstance?

View solution

Problem 69

Find the magnitude and direction of the magnetic field at the point equidistant from the wires in Figure 22.64(a), using the rules of vector addition to sum the contributions from each wire.

View solution

Problem 70

Find the magnitude and direction of the magnetic field at the point equidistant from the wires in Figure 22.58(b), using the rules of vector addition to sum the contributions from each wire.

View solution

Problem 71

What current is needed in the top wire in Figure 22.64(a) to produce a field of zero at the point equidistant from the wires, if the currents in the bottom two wires are both 10.0 A into the page?

View solution

Problem 72

Calculate the size of the magnetic field 20 m below a high voltage power line. The line carries 450 MW at a voltage of 300,000 V.

View solution

Problem 73

(a) A pendulum is set up so that its bob (a thin copper disk) swings between the poles of a permanent magnet as shown in Figure 22.69. What is the magnitude and direction of the magnetic force on the bob at the lowest point in its path, if it has a positive 0.250μC0.250 \mu\textrm{C} charge and is released from a height of 30.0 cm above its lowest point? The magnetic field strength is 1.50 T. (b) What is the acceleration of the bob at the bottom of its swing if its mass is 30.0 grams and it is hung from a flexible string? Be certain to include a free-body diagram as part of your analysis.

View solution

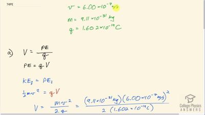
Problem 74

(a) What voltage will accelerate electrons to a speed of 6.00×107 m/s6.00\times 10^{-7}\textrm{ m/s}? (b) Find the radius of curvature of the path of a proton accelerated through this potential in a 0.500-T field and compare this with the radius of curvature of an electron accelerated through the same potential.

View solution

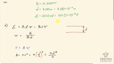
Problem 76

To construct a nonmechanical water meter, a 0.500-T magnetic field is placed across the supply water pipe to a home and the Hall voltage is recorded. (a) Find the flow rate in liters per second through a 3.00-cm-diameter pipe if the Hall voltage is 60.0 mV. (b) What would the Hall voltage be for the same flow rate through a 10.0-cm-diameter pipe with the same field applied?

View solution

Problem 77

(a) Using the values given for an MHD drive in Exercise 22.36, and assuming the force is uniformly applied to the fluid, calculate the pressure created in N/m2\textrm{N/m}^2 (b) Is this a significant fraction of an atmosphere?\

Exercise 22.36

What force is exerted on the water in an MHD drive utilizing a 25.0-cm-diameter tube, if 100-A current is passed across the tube that is perpendicular to a 2.00-T magnetic field? (The relatively small size of this force indicates the need for very large currents and magnetic fields to make practical MHD drives.)

View solution

Problem 78

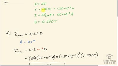
(a) Calculate the maximum torque on a 50-turn, 1.50 cm radius circular current loop carrying 50 μA50\textrm{ }\mu\textrm{A} in a 0.500-T field. (b) If this coil is to be used in a galvanometer that reads 50 μA50\textrm{ }\mu\textrm{A} full scale, what force constant spring must be used, if it is attached 1.00 cm from the axis of rotation and is stretched by the 6060^\circ arc moved?

View solution

Problem 79

A current balance used to define the ampere is designed so that the current through it is constant, as is the distance between wires. Even so, if the wires change length with temperature, the force between them will change. What percent change in force per degree will occur if the wires are copper?

View solution

Problem 80

(a) Show that the period of the circular orbit of a charged particle moving perpendicularly to a uniform magnetic field is T=2πmqBT = \dfrac{2 \pi m}{qB}. (b) What is the frequency ff? (c) What is the angular velocity ω\omega ? Note that these results are independent of the velocity and radius of the orbit and, hence, of the energy of the particle. (Figure 22.64.)

View solution

Problem 81

A cyclotron accelerates charged particles as shown in Figure 22.70. Using the results of the previous problem, calculate the frequency of the accelerating voltage needed for a proton in a 1.20-T field.

View solution

Problem 82

(a) A 0.140-kg baseball, pitched at 40.0 m/s horizontally and perpendicular to the Earth’s horizontal 5.00×105 T5.00\times 10^{-5}\textrm{ T} field, has a 100-nC charge on it. What distance is it deflected from its path by the magnetic force, after traveling 30.0 m horizontally? (b) Would you suggest this as a secret technique for a pitcher to throw curve balls?

View solution

Problem 83

(a) What is the direction of the force on a wire carrying a current due east in a location where the Earth’s field is due north? Both are parallel to the ground. (b) Calculate the force per meter if the wire carries 20.0 A and the field strength is 3.00×105 T3.00 \times 10^{-5} \textrm{ T}. (c) What diameter copper wire would have its weight supported by this force? (d) Calculate the resistance per meter and the voltage per meter needed.

View solution

Problem 84

One long straight wire is to be held directly above another by repulsion between their currents. The lower wire carries 100 A and the wire 7.50 cm above it is 10-gauge (2.588 mm diameter) copper wire. (a) What current must flow in the upper wire, neglecting the Earth’s field? (b) What is the smallest current if the Earth’s 3.00×105 T3.00\times 10^{-5}\textrm{ T} field is parallel to the ground and is not neglected? (c) Is the supported wire in a stable or unstable equilibrium if displaced vertically? If displaced horizontally?

View solution

Problem 85

(a) Find the charge on a baseball, thrown at 35.0 m/s perpendicular to the Earth’s 5.00×105 T5.00 \times 10^{-5} \textrm{ T} field, that experiences a 1.00-N magnetic force. (b) What is unreasonable about this result? (c) Which assumption or premise is responsible?

View solution

Problem 86

A charged particle having mass 6.64×1027 kg6.64\times 10^{-27}\textrm{ kg} (that of a helium atom) moving at 8.70×105 m/s8.70\times 10^{5}\textrm{ m/s} perpendicular to a 1.50-T magnetic field travels in a circular path of radius 16.0 mm. (a) What is the charge of the particle? (b) What is unreasonable about this result? (c) Which assumptions are responsible?

View solution

Problem 87

An inventor wants to generate 120-V power by moving a 1.00-m-long wire perpendicular to the Earth’s 5.00×105 T5.00 \times 10^{-5} \textrm{ T} field. (a) Find the speed with which the wire must move. (b) What is unreasonable about this result? (c) Which assumption is responsible?

View solution

Problem 88

Frustrated by the small Hall voltage obtained in blood flow measurements, a medical physicist decides to increase the applied magnetic field strength to get a 0.500-V output for blood moving at 30.0 cm/s in a 1.50-cm-diameter vessel. (a) What magnetic field strength is needed? (b) What is unreasonable about this result? (c) Which premise is responsible?

View solution

Problem 89

A surveyor 100 m from a long straight 200-kV DC power line suspects that its magnetic field may equal that of the Earth and affect compass readings. (a) Calculate the current in the wire needed to create a 5.00×105 T5.00 \times 10^{-5} \textrm{ T} field at this distance. (b) What is unreasonable about this result? (c) Which assumption or premise is responsible?

View solution

Test Prep for AP® Courses

Section 22.2: Ferromagnets and Electromagnets

Problem 1 (AP)

A bar magnet is oriented so that the north pole of the bar magnet points north. A compass needle is placed to the north of the bar magnet. In which direction does the north pole of the compass needle point?
  1. North
  2. East
  3. South
  4. West

View solution

Problem 2 (AP)

Assume for simplicity that the Earth’s magnetic north pole is at the same location as its geographic north pole. If you are in an airplane flying due west along the equator, as you cross the prime meridian (0° longitude) facing west and look down at a compass you are carrying, you see that the compass needle is perpendicular to your direction of motion, and the north pole of the needle dipole points to your right. As you continue flying due west, describe how and why the orientation of the needle will (or will not) change.

View solution

Problem 3 (AP)

Describe how the magnetic domains in an unmagnetized iron rod will respond to the presence of a strong external magnetic field.
  1. The domains will split into monopoles.
  2. The domains will tend to align with the external field.
  3. The domains will tend to orient themselves perpendicular to the external field.
  4. The domains will tend to align so as to cancel out the external field.

View solution

Problem 4 (AP)

Describe what steps must be undertaken in order to convert an unmagnetized iron rod into a permanently magnetized state. As part of your answer, explain what a magnetic domain is and how it responds to the steps described.

View solution

Problem 5 (AP)

Iron is ferromagnetic and lead is diamagnetic, which means its magnetic domains respond in the opposite direction of ferromagnets but many orders of magnitude more weakly. The two blocks are placed in a magnetic field that points to the right. Which of the following best represents the orientations of the dipoles when the field is present?

View solution

Problem 6 (AP)

A weather vane is some sort of directional arrow parallel to the ground that may rotate freely in a horizontal plane. A typical weather vane has a large cross-sectional area perpendicular to the direction the arrow is pointing, like a “One Way” street sign. The purpose of the weather vane is to indicate the direction of the wind. As wind blows past the weather vane, it tends to orient the arrow in the same direction as the wind. Consider a weather vane’s response to a strong wind. Explain how this is both similar to and different from a magnetic domain’s response to an external magnetic field. How does each affect its surroundings?

View solution

Section 22.4: Magnetic Field Strength: Force on a Moving Charge in a Magnetic Field

Problem 7 (AP)

A proton moves in the –x-direction and encounters a uniform magnetic field pointing in the +x-direction. In what direction is the resulting magnetic force on the proton?
  1. The proton experiences no magnetic force.
  2. +x-direction
  3. −y-direction
  4. +y-direction

View solution

Problem 8 (AP)

A proton moves with a speed of 240 m/s in the +x-direction into a region of a 4.5-T uniform magnetic field directed 6262^\circ above the +x-direction in the x,y-plane. Calculate the magnitude of the magnetic force on the proton.

View solution

Section 22.5: Force on a Moving Charge in a Magnetic Field: Examples and Applications

Problem 9 (AP)

A wire oriented north-south carries current south. The wire is immersed in the Earth’s magnetic field, which is also oriented north-south (with a horizontal component pointing north). The Earth’s magnetic field also has a vertical component pointing down. What is the direction of the magnetic force felt by the wire?
  1. West
  2. East
  3. Up
  4. North

View solution

Section 22.6: The Hall Effect

Problem 10 (AP)

An airplane wingspan can be approximated as a conducting rod of length 35 m. As the airplane flies due north, it is flying at a rate of 82 m/s through the Earth’s magnetic field, which has a magnitude of 45 μT45\textrm{ }\mu\textrm{T} toward the north in a direction 5757^\circ below the horizontal plane. (a) Which end of the wingspan is positively charged, the east or west end? Explain. (b) What is the Hall emf along the wingspan?

View solution

Section 22.9: Magnetic Fields Produced by Currents: Ampere's Law

Problem 11 (AP)

An experimentalist fires a beam of electrons, creating a visible path in the air that can be measured. The beam is fired along a direction parallel to a current-carrying wire, and the electrons travel in a circular path in response to the wire’s magnetic field. Assuming the mass and charge of the electrons is known, what quantities would you need to measure in order to deduce the current in the wire?
  1. the radius of the circular path
  2. the average distance between the electrons and the wire
  3. the velocity of the electrons
  4. two of the above
  5. all of the above

View solution

Problem 12 (AP)

Electrons starting from rest are accelerated through a potential difference of 240 V and fired into a region of uniform 3.5-mT magnetic field generated by a large solenoid. The electrons are initially moving in the +x-direction upon entering the field, and the field is directed into the page. Determine (a) the radius of the circle in which the electrons will move in this uniform magnetic field and (b) the initial direction of the magnetic force the electrons feel upon entering the uniform field of the solenoid.

View solution

Problem 13 (AP)

A wire along the y-axis carries current in the +y-direction. In what direction is the magnetic field at a point on the +x-axis near the wire?
  1. away from the wire
  2. vertically upward
  3. into the page
  4. out of the page

View solution

Problem 14 (AP)

Imagine the xy coordinate plane is the plane of the page. A wire along the z-axis carries current in the +z-direction (out of the page, or ⊙ ). Draw a diagram of the magnetic field in the vicinity of this wire indicating the direction of the field. Also, describe how the strength of the magnetic field varies according to the distance from the z-axis.

View solution

Section 22.10: Magnetic Force between Two Parallel Conductors

Problem 15 (AP)

Two parallel wires carry equal currents in the same direction and are separated by a small distance. What is the direction of the magnetic force exerted by the two wires on each other?
  1. No force since the wires are parallel.
  2. No force since the currents are in the same direction.
  3. The force is attractive.
  4. The force is repulsive.

View solution

Problem 16 (AP)

A wire along the y-axis carries current in the +y-direction. An experimenter would like to arrange a second wire parallel to the first wire and crossing the x-axis at the coordinate x=2.0 mx = 2.0 \textrm{ m} so that the total magnetic field at the coordinate x=1.0 mx = 1.0 \textrm{ m} is zero. In what direction must the current flow in the second wire, assuming it is equal in magnitude to the current in the first wire? Explain.

View solution