Question
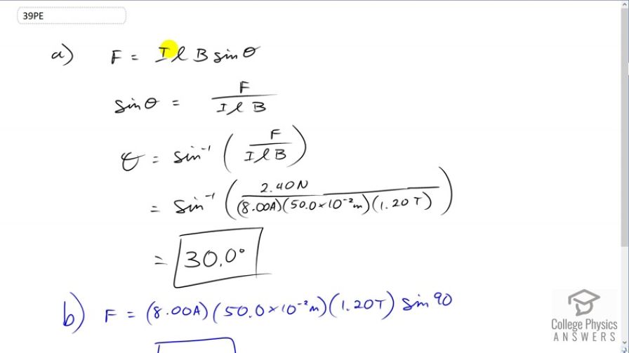
(a) What is the angle between a wire carrying an 8.00-A current and the 1.20-T field it is in if 50.0 cm of the wire experiences a magnetic force of 2.40 N? (b) What is the force on the wire if it is rotated to make an angle of with the field?
Final Answer
Solution video
OpenStax College Physics for AP® Courses, Chapter 22, Problem 39 (Problems & Exercises)

vote with a rating of
votes with an average rating of
.
Calculator Screenshots
Video Transcript
This is College Physics Answers with Shaun Dychko. We are going to find the angle between a current-carrying wire and a magnetic field. So the force the wire experiences is the current times the length in the presence of the field times magnetic field times the angle between the field and the current. And we'll divide both sides by IlB to solve for sine theta and then take the inverse sign of both sides and get theta is the inverse sign of F over IlB. So that's the inverse sign of 2.40 newtons divided by eight Amps times 50 times ten to the minus two meters times 1.2 Tesla which gives 30.0 degrees. And if this wire was rotated so that it was 90 degrees to the magnetic field. Then, we would substitute in to this formula in black there. All these numbers, the current times the length of the wire times the magnetic field strength times sine of 90 and this gives 4.80 newtons.