Question
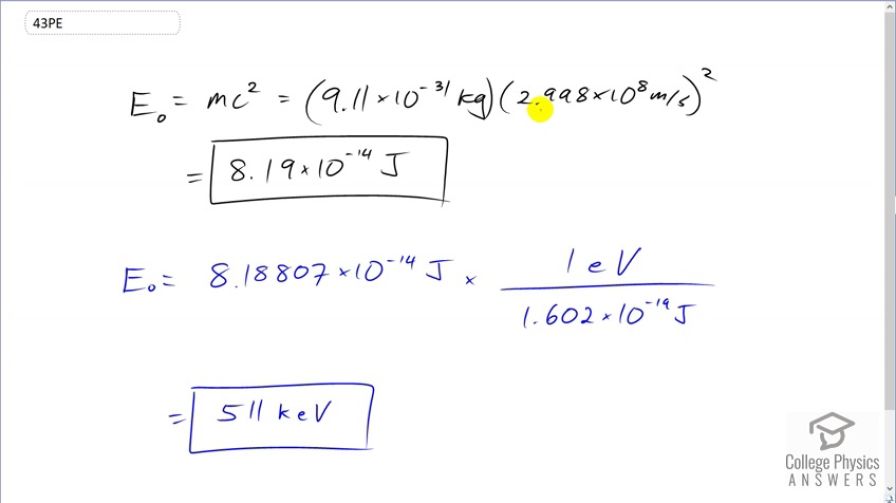
What is the rest energy of an electron, given its mass is $9.11 \times 10^{-31} \textrm{ kg}? Give your answer in joules and MeV.
Question by OpenStax is licensed under CC BY 4.0
Final Answer
8.19×1014 J8.19 \times 10^{-14} \textrm{ J} 511 keV511 \textrm{ keV}

Solution video

OpenStax College Physics for AP® Courses, Chapter 28, Problem 43 (Problems & Exercises)

OpenStax College Physics, Chapter 28, Problem 43 (PE) video thumbnail

In order to watch this solution you need to have a subscription.

Start free trial Log in
vote with a rating of votes with an average rating of .

Calculator Screenshots

  • OpenStax College Physics, Chapter 28, Problem 43 (PE) calculator screenshot 1
Video Transcript
This is College Physics Answers with Shaun Dychko. The rest energy of an electron is its mass times c squared. That's 9.11 times 10 to the minus 31 kilograms times 2.998 times 10 to the 8 meters per second squared giving 8.19 times 10 to the minus 14 joules. We can express that energy in electron volts by multiplying the joules by 1 electron volt for every 1.602 times 10 to the minus 19 joules and the joules cancel giving us 511 kiloelectron volts, is another way to express that same energy.