Question
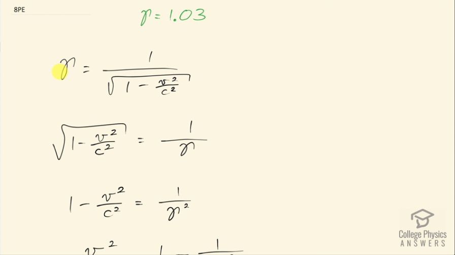
If relativistic effects are to be less than 3%, then γ must be less than 1.03. At what relative velocity is γ=1.03\gamma = 1.03?
Question by OpenStax is licensed under CC BY 4.0
Final Answer
7.183×107 m/s7.183\times 10^{7}\textrm{ m/s}

Solution video

OpenStax College Physics for AP® Courses, Chapter 28, Problem 8 (Problems & Exercises)

OpenStax College Physics, Chapter 28, Problem 8 (PE) video thumbnail

In order to watch this solution you need to have a subscription.

Start free trial Log in
vote with a rating of votes with an average rating of .

Calculator Screenshots

  • OpenStax College Physics, Chapter 28, Problem 8 (PE) calculator screenshot 1
Video Transcript
This is College Physics Answers with Shaun Dychko. What is the relative speed when the Lorentz factor—γ—is 1.03? So γ is 1 over the square root of 1 minus the relative speed squared over c squared and we can multiply both sides by 1 minus v squared over c squared and divide both sides by γ and we get square root 1 minus v squared over c squared is 1 over γ and then we can square both sides and get 1 minus v squared over c squared is 1 over γ squared and then add v squared over c squared to both sides and subtract 1 over γ squared from both sides and we get v squared over c squared is 1 minus 1 over γ squared then multiply both sides by c squared and you get v squared is c squared times 1 minus 1 over γ squared then square root both sides and finally we have a formula for the speed v in terms of speed of light and γ so we have speed of light times square root 1 minus 1 over γ squared. So that's 2.998 times 10 to the 8 meters per second times square root 1 minus 1 over 1.03 squared and that's 7.183 times 10 to the 7 meters per second. So at speeds greater than this, you will have a Lorentz factor that is creating a relativistic effect that exceeds 3 percent.