Question
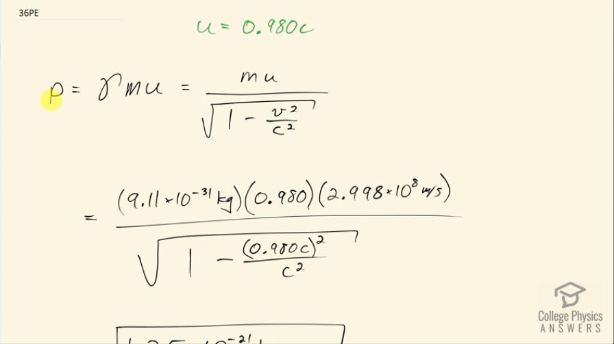
What is the momentum of an electron traveling at 0.980c0.980c?
Question by OpenStax is licensed under CC BY 4.0
Final Answer
1.35×1021 kgm/s1.35\times 10^{-21}\textrm{ kg}\cdot\textrm{m/s}

Solution video

OpenStax College Physics for AP® Courses, Chapter 28, Problem 36 (Problems & Exercises)

OpenStax College Physics, Chapter 28, Problem 36 (PE) video thumbnail

In order to watch this solution you need to have a subscription.

Start free trial Log in
vote with a rating of votes with an average rating of .

Calculator Screenshots

  • OpenStax College Physics, Chapter 28, Problem 36 (PE) calculator screenshot 1
Video Transcript
This is College Physics Answers with Shaun Dychko. An electron is traveling with a speed of 0.980c and the question is what is its relativistic momentum? That's going to equal the Lorentz factor multiplied by the electron's rest mass multiplied by its speed. So that's mu divided by square root 1 minus v squared over c squared when you replace γ with 1 over this denominator. So that's 9.11 times 10 to the minus 31 kilograms— rest mass of an electron— times 0.980 times the speed of light— 2.998 times 10 to the 8 meters per second— divided by square root of 1 minus 0.980c squared over c squared and that's 1.35 times 10 to the minus 21 kilogram meters per second.