Question
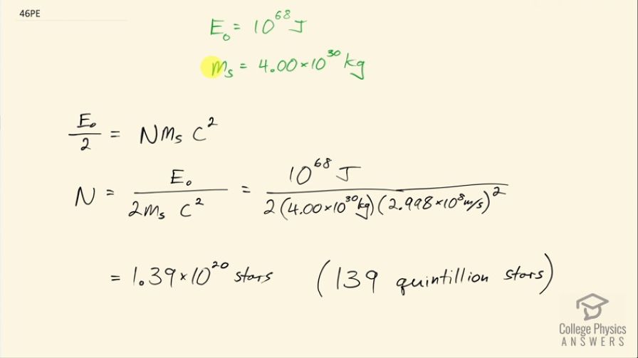
The Big Bang that began the universe is estimated to have released 1068 J10^{68}\textrm{ J} of energy. How many stars could half this energy create, assuming the average star's mass is 4.00×1030 kg4.00\times 10^{30}\textrm{ kg}.
Question by OpenStax is licensed under CC BY 4.0
Final Answer
1.39×1020 stars1.39\times 10^{20}\textrm{ stars}

Solution video

OpenStax College Physics for AP® Courses, Chapter 28, Problem 46 (Problems & Exercises)

OpenStax College Physics, Chapter 28, Problem 46 (PE) video thumbnail

In order to watch this solution you need to have a subscription.

Start free trial Log in
vote with a rating of votes with an average rating of .

Calculator Screenshots

  • OpenStax College Physics, Chapter 28, Problem 46 (PE) calculator screenshot 1
Video Transcript
This is College Physics Answers with Shaun Dychko. The Big Bang of the universe released approximately 10 to the 68 joules and we suppose that the mass of a single star on average is 4.00 times 10 to the 30 kilograms and how many stars would it take to account for half of this energy? So we have that energy divided by 2 equals the number of stars times the mass per star times c squared and we have to divide both sides by m s times c squared to solve for N. So the number of stars then is the energy released by the Big Bang divided by 2 times the mass per star times c squared. So that's 10 to the 68 joules divided by 2 times 4.00 times 10 to the 30 kilograms times 2.998 times 10 to the 8 meters per second squared, which is about 139 quintillion stars.