Question
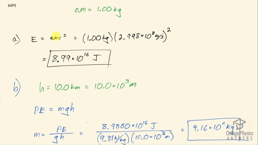
(a) Calculate the energy released by the destruction of 1.00 kg of mass. (b) How many kilograms could be lifted to a 10.0 km height by this amount of energy?
Question by OpenStax is licensed under CC BY 4.0
Final Answer
  1. 8.99×1016 J8.99\times 10^{16}\textrm{ J}
  2. 9.16×1011 kg9.16\times 10^{11}\textrm{ kg}

Solution video

OpenStax College Physics for AP® Courses, Chapter 28, Problem 64 (Problems & Exercises)

OpenStax College Physics, Chapter 28, Problem 64 (PE) video thumbnail

In order to watch this solution you need to have a subscription.

Start free trial Log in
vote with a rating of votes with an average rating of .

Calculator Screenshots

  • OpenStax College Physics, Chapter 28, Problem 64 (PE) calculator screenshot 1
Video Transcript
This is College Physics Answers with Shaun Dychko. How much energy could be released with the destruction of 1.00 kilogram of mass? So the energy would be the mass lost times c squared. So that's 1.00 kilogram times 2.998 times 10 to the 8 meters per second squared and that is 8.99 times 10 to the 16 joules. If this energy was used to raise some mass to a height of 10.0 kilometers, how much mass could be raised? So 10.0 kilometers is 10.0 times 10 to the 3 meters and the mass will gain some potential energy equal to the mass times gravitational field strength times the height and we can solve this for m by dividing both sides by gh. So that's potential energy that we found in part (a) divided by the gravitational field strength— 9.81 newtons per kilogram— times the height of 10.0 times 10 to the 3 meters and that is 9.16 times 10 to 11 kilograms could be raised to a height of 10.0 kilometers.