Question
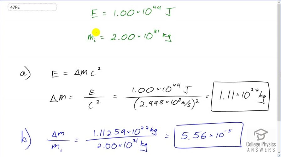
A supernova explosion of a 2.00×1030 kg2.00 \times 10^{30} \textrm{ kg} star produces 1.00×1044 J1.00 \times 10^{44} \textrm{ J} of energy. (a) How many kilograms of mass are converted to energy in the explosion? (b) What is the ratio Δmm\dfrac{\Delta m}{m} of mass destroyed to the original mass of the star?
Question by OpenStax is licensed under CC BY 4.0
Final Answer
  1. 1.11×1027 kg</li><li>1.11 \times 10^{27} \textrm{ kg}</li> <li> 5.56 \times 10^{-5}

Solution video

OpenStax College Physics for AP® Courses, Chapter 28, Problem 47 (Problems & Exercises)

OpenStax College Physics, Chapter 28, Problem 47 (PE) video thumbnail

In order to watch this solution you need to have a subscription.

Start free trial Log in
vote with a rating of votes with an average rating of .

Calculator Screenshots

  • OpenStax College Physics, Chapter 28, Problem 47 (PE) calculator screenshot 1
Video Transcript
This is College Physics Answers with Shaun Dychko. 1.00 times 10 to the 44 joules of energy is produced by a star explosion. And the initial mass of the star was 2 times 10 to the 31 kilograms. The question is how much mass was converted into energy? So energy equals the amount of mass converted times c squared. And so we can solve for this delta m by dividing by c squared. So delta m is the energy divided by speed of light squared. So that's 1 times 10 to the 44 joules over speed of light squared, which is 1.11 times 10 to the 27 kilograms. Part (b) asks us to find the ratio of mass that was converted into energy. And so we'll take the amount of mass lost— which we calculated in part (a)— and divide that by the initial mass of the star. That gives a ratio of 5.56 times 10 to the minus 5. So very little of the star's initial mass was converted into energy despite the fact that there is such a huge amount of energy produced.