Question
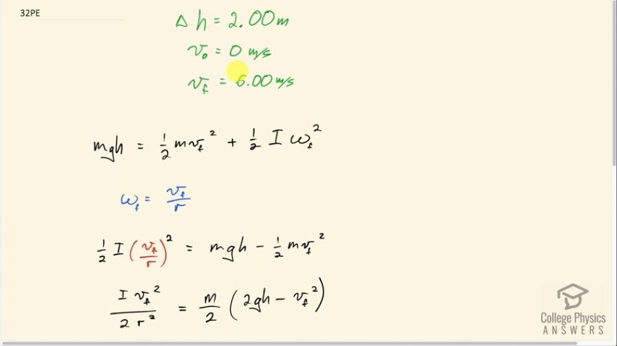
What is the moment of inertia of an object that rolls without slipping down a 2.00-m-high incline starting from rest, and has a final velocity of 6.00 m/s? Express the moment of inertia as a multiple of , where is the mass of the object and is its radius.
Final Answer
Solution video
OpenStax College Physics for AP® Courses, Chapter 10, Problem 32 (Problems & Exercises)

vote with a rating of
votes with an average rating of
.
Calculator Screenshots
Video Transcript
This is College Physics Answers with Shaun Dychko. An object rolls without slipping down an incline starting at a height of 2.00 meters and starting from rest, reaches a final speed of 6.00 meters per second and our job is to figure out what is the moment of inertia of this object and we are also told that it rolls without slipping. So the potential energy that the object has initially mass times gravitational field strength times its height equals the total kinetic energy it has at the bottom of the incline. At the bottom of the incline, we'll take that to be the reference level in which case height is zero and so there's no potential energy here, there's only translational kinetic energy and rotational kinetic energy. So because we know that this object is rolling without slipping that means we can express this angular velocity in terms of the translational velocity divided by the radius of the object and we make that substitution here and we also subtract one-half mv f squared from both sides and that gives us this line here— switching the sides around as well. We want to have the moment of inertia, I, on the left side because we are solving for it. So we have made this substitution for the angular velocity in terms of translational velocity and radius and then square that and we have this line here after we factor out the m over 2 from both terms; of course 2 is not a factor of this term so we have to multiply it by 2 to make this okay. And then we are gonna solve for I by multiplying both sides by 2r squared over v f squared and this side gets multiplied by 2r squared over v f squared and we end up with the 2's canceling and we have m times r squared divided by v f squared times bracket 2gh minus v f squared. And then we can substitute in as many numbers as possible; we don't know the radius or the mass but we do know the final velocity of 6.00 meters per second so we square that here multiplied by 2 times acceleration due to gravity times the initial height minus the final speed squared and this gives us 0.0889 mass times radius squared is the moment of inertia of the object.