Question
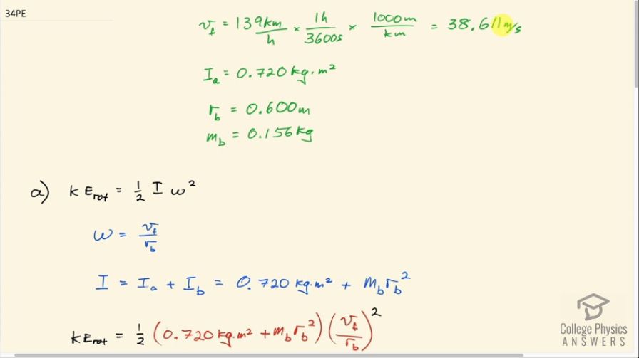
In softball, the pitcher throws with the arm fully extended (straight at the elbow). In a fast pitch the ball leaves the hand with a speed of 139 km/h. (a) Find the rotational kinetic energy of the pitcher’s arm given its moment of inertia is and the ball leaves the hand at a distance of 0.600 m from the pivot at the shoulder. (b) What force did the muscles exert to cause the arm to rotate if their effective perpendicular lever arm is 4.00 cm and the ball is 0.156 kg?
Final Answer
Solution video
OpenStax College Physics for AP® Courses, Chapter 10, Problem 34 (Problems & Exercises)

vote with a rating of
votes with an average rating of
.
Calculator Screenshots
Video Transcript
This is College Physics Answers with Shaun Dychko. A softball pitcher throws a ball and it reaches a final velocity of 38.611 meters per second after you convert the 139 kilometers per hour into meters per second. The moment of inertia of their arm without the ball in it is 0.720 kilograms meters squared, the mass of the ball we are told is 0.156 kilograms and the lever arm of the ball or the distance from the ball to the shoulder pivot is 0.600 meters. Question (a) asks us the rotational kinetic energy of this arm and ball system so that's going to be one-half times the moment of inertia in total of the ball and the arm plus the angular velocity of the arm squared. So angular velocity... the final angular velocity anyhow— this is the final rotational kinetic energy— is the final linear velocity, which we are given, divided by the distance from the ball to the shoulder and the moment of inertia will be the moment of inertia of the arm plus the moment of inertia of the ball and so the ball is a point mass and the formula for that is mass times distance to the pivot squared and so we have mass of the ball times distance of the ball to the shoulder squared here and we add to that 0.720 kilogram meters squared that we are given as the moment of inertia of the arm. So the final rotational kinetic energy then is one-half times 0.720 kilogram meters squared plus m br b squared times a substitution here for the angular velocity in terms of linear velocity and distance to the pivot and we square that. So we have one-half times 0.720 kilograms meters squared plus 0.156 kilograms—mass of the ball— times 0.600 meters—from the ball to the shoulder—squared times 38.611 meters per second divided by 0.600 meters and that fraction is squared and we get 1610 joules. Part (b) is a bit of a trickier question it's going to ask us what force the muscle that's moving this arm is exerting and we have to make some assumptions about the question and so I am going to assume that the ball starts at this... (get rid of that) this assumes that the ball starts at this horizontal position and then the pitcher lowers their arm down like this and then releases the ball at the very bottom when their arm is straight down and the ball is going to have this final speed at this point. So the angular displacement then of this arm and ball is a quarter of a circle, which is π over 2 and the change in height of the ball, which we need to know in order to figure out its change in potential energy is going to be the length of the arm because the ball starts at this level here straight back and ends up at this level here which is the arm length away from where the ball started so the change in height of the ball is the length of the arm, which is labeled r b. And then we also need to know the change in height of the arm itself and that is the center of mass of the arm in other words so the center of mass of the arm excluding the ball how far down does that go? And that tells us the change in gravitational potential energy of the arm and that's going to be from here, it goes down to this height here which is half the length of the arm making the assumption of course that the arm has uniform mass distribution. Okay and so that means the arm will change in height by r b divided by 2. So with this illustration and assumptions and so on in mind now we can answer the question. So the work done by the muscle is the torque that it exerts multiplied by the angular displacement and the torque then is the force the muscle exerts multiplied by its lever arm which we are told is 4.00 centimeters— that's the lever arm of the muscle— and it's attached 4.00 centimeters from the shoulder pivot. Now the work done by a non-conservative force equals the change in kinetic energy plus the change in potential energy of the system and we know that this muscle is a non-conservative force because it's adding energy to the system— it's introducing new energy that wasn't there before— and friction's another example of a non-conservative force because it takes energy away from a system. Okay! So we are going to replace the work done by the non-conservative force with this formula for the work done by the muscle so that's force of the muscle times lever arm of the muscle times angular displacement of the arm and that equals the final kinetic energy of the arm minus its initial kinetic energy—which will be 0 because it starts at rest— and then here's the change in potential energy of the arm and this is the change in potential energy of the ball— they are falling and so they are losing potential energy so there's a minus sign in front of each. Okay! Then we solve for the force exerted by the muscle by dividing both sides by r m θ. Okay... I also factored out this gravitational field strength from each of these terms. Now the only thing we don't know here is the mass of the arm, we know the final kinetic energy— we calculated it in part (a)— and we know the height through which the arm center of mass falls and the height through which the ball falls and we know the mass of the ball and so on and all these other things too and the only thing we don't know is the mass of the arm. So we can figure it out using the moment of inertia, which we are given and this handy formula here because we will model the arm as a 'rod' with an axis of rotation at the shoulder joint so a perpendicular axis at one end, in other words, and its moment of inertia is Ml squared over 3. So we can solve this for m a by multiplying both sides by 3 over r b squared and so we get that the mass of the arm equals 3 times the moment of inertia divided by the length of the arm squared and the length of the arm is the lever arm of the ball, which is why it has a subscript b but it's the length of the arm, in other words. Okay! And we have 3 times 0.720 kilograms meters squared divided by 0.600 meters squared and that is 6.00 kilograms. So now we plug all the numbers into our formula for the force exerted by the muscle. We have 1607.09 joules of final kinetic energy minus 6.00 kilograms times 0.600 meters over 2— that's the mass of the arm times the height through which the center of mass of the arm falls, which is the half-length of the arm— plus 0.156 kilograms—mass of the ball—times its change in height, which is 0.600 meters— length of the arm— all that gets multiplied by 9.8 Newtons per kilogram and then divide by 4.00 centimeters converted into meters and then multiply by the angular displacement—π over 2— and then we have 2.53 times 10 to the 4 Newtons is the force exerted by the muscle.