Question
During a very quick stop, a car decelerates at .
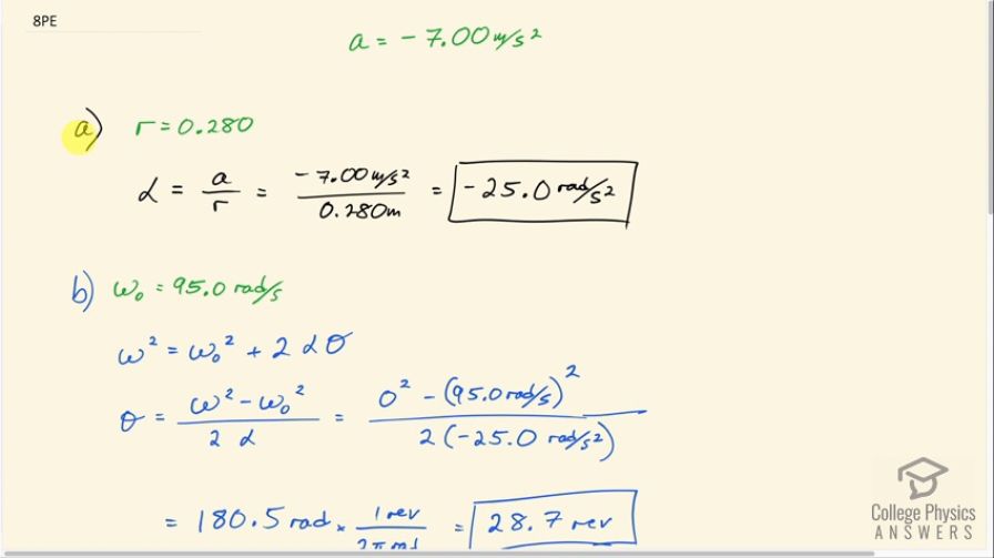
- What is the angular acceleration of its 0.280-m-radius tires, assuming they do not slip on the pavement?
- How many revolutions do the tires make before coming to rest, given their initial angular velocity is 95.0 rad/s?
- How long does the car take to stop completely?
- What distance does the car travel in this time?
- What was the car’s initial velocity?
- Do the values obtained seem reasonable, considering that this stop happens very quickly?
Final Answer
- Yes, a sudden stop lasting 3.8 s starting at highway speed seems reasonable.
Solution video
OpenStax College Physics for AP® Courses, Chapter 10, Problem 8 (Problems & Exercises)

vote with a rating of
votes with an average rating of
.
Calculator Screenshots
Video Transcript
This is College Physics Answers with Shaun Dychko. A car makes a very quick stop decelerating at 7.00 meters per second squared and part (a) asks us what is the angular acceleration of its wheels given that the wheels have a radius of 0.280 meters. So angular acceleration is linear acceleration divided by the radius so that's negative 7.00 meters per second squared divided by 0.280 meters which is negative 25.0 radians per second squared. Part (b) asks us how many revolutions the tires make before coming to a stop given they have an initial angular velocity of 95.0 radians per second. So we have this formula that says the final angular velocity squared equals the initial angular velocity squared plus two times the angular acceleration multiplied by the angular displacement and so we have to figure out what is Θ, this angular displacement, that will be the number of radians and then we'll convert those radians into revolutions. So we subtract ω naught squared from both sides and then after that divide both sides by 2 times α and then switch the sides around and you get this: Θ is ω squared minus ω naught squared over 2α. So that's 0 squared—its final velocity comes to a stop— minus 95.0 radians per second squared divided by 2 times negative 25.0 radians per second squared giving us 180.5 radians which we multiply by 1 revolution for every 2π radians, radian units cancel leaving us with 28.7 revolutions. So that's the number of times the wheels turn. Part (c) asks us how long the car takes to stop? So we have final angular velocity equals initial angular velocity plus angular acceleration times time and we can solve this for t by subtracting ω naught from both sides and then dividing both sides by α. So t is ω f minus ω naught over α. So that's 0 minus 95.0 radians per second divided by negative 25.0 radians per second squared giving 3.80 seconds and we got this ω naught from part (b) given to us. Okay and then part (d) asks how much distance will the car travel in this time? So the distance is gonna be the radius of the wheels multiplied by the angular displacement of the wheels. So that's 0.280 meters multiplied by this 180.5 radians here... oops... and then that gives us 50.5 meters. The initial velocity in meters per second is the radius of the wheels times the initial angular velocity. So that's 0.280 meters times 95.0 radians per second which is 26.6 meters per second. Part (f) asks us is this a reasonable scenario? Is it possible for a car to stop from this initial velocity in this amount of time? So to give some sort of perspective on this initial velocity; 26.6 meters per second is 95.8 kilometers per hour which is highway speed in other words and sudden stop lasting almost 4 seconds seems reasonable starting at highway speed.