Chapter 10

Chapter thumbnail
The mention of a tornado conjures up images of raw destructive power. Tornadoes blow houses away as if they were made of paper and have been known to pierce tree trunks with pieces of straw. They descend from clouds in funnel-like shapes that spin violently, particularly at the bottom where they are most narrow, producing winds as high as 500 km/h. Location: Oklahoma 7 miles south of Anadarko.

Chapter 10 : Rotational Motion and Angular Momentum - all with Video Solutions

Problems & Exercises

Section 10.1: Angular Acceleration

Problem 2

An ultracentrifuge accelerates from rest to 100,000 rpm in 2.00 min. (a) What is its angular acceleration in rad/s2\textrm{rad/s}^2 ? (b) What is the tangential acceleration of a point 9.50 cm from the axis of rotation? (c) What is the radial acceleration in m/s2\textrm{m/s}^2 and multiples of gg of this point at full rpm?

View solution

Problem 3

You have a grindstone (a disk) that is 90.0 kg, has a 0.340-m radius, and is turning at 90.0 rpm, and you press a steel axe against it with a radial force of 20.0 N. (a) Assuming the kinetic coefficient of friction between steel and stone is 0.20, calculate the angular acceleration of the grindstone. (b) How many turns will the stone make before coming to rest?

View solution

Problem 4

You are told that a basketball player spins the ball with an angular acceleration of 100 rad/s2100 \textrm{ rad/s}^2. (a) What is the ball’s final angular velocity if the ball starts from rest and the acceleration lasts 2.00 s? (b) What is unreasonable about the result? (c) Which premises are unreasonable or inconsistent?

View solution

Section 10.2: Kinematics of Rotational Motion

Problem 5

With the aid of a string, a gyroscope is accelerated from rest to 32 rad/s in 0.40 s.
  • What is its angular acceleration in rad/s2?
  • How many revolutions does it go through in the process?

View solution

Problem 6

Suppose a piece of dust finds itself on a CD. If the spin rate of the CD is 500 rpm, and the piece of dust is 4.3 cm from the center, what is the total distance traveled by the dust in 3 minutes? (Ignore accelerations due to getting the CD rotating.)

View solution

Problem 7

A gyroscope slows from an initial rate of 32.0 rad/s at a rate of 0.700 rad/s20.700\textrm{ rad/s}^2.
  • How long does it take to come to rest?
  • How many revolutions does it make before stopping?

View solution

Problem 8

During a very quick stop, a car decelerates at 7.00 m/s27.00 \textrm{ m/s}^2 .
  1. What is the angular acceleration of its 0.280-m-radius tires, assuming they do not slip on the pavement?
  2. How many revolutions do the tires make before coming to rest, given their initial angular velocity is 95.0 rad/s?
  3. How long does the car take to stop completely?
  4. What distance does the car travel in this time?
  5. What was the car’s initial velocity?
  6. Do the values obtained seem reasonable, considering that this stop happens very quickly?

View solution

Problem 9

Everyday application: Suppose a yo-yo has a center shaft that has a 0.250 cm radius and that its string is being pulled.
  1. If the string is stationary and the yo-yo accelerates away from it at a rate of 1.50 m/s21.50 \textrm{ m/s}^2, what is the angular acceleration of the yo-yo?
  2. What is the angular velocity after 0.750 s if it starts from rest?
  3. The outside radius of the yo-yo is 3.50 cm. What is the tangential acceleration of a point on its edge?

View solution

Section 10.3: Dynamics of Rotational Motion: Rotational Inertia

Problem 11

Calculate the moment of inertia of a skater given the following information. (a) The 60.0-kg skater is approximated as a cylinder that has a 0.110-m radius. (b) The skater with arms extended is approximately a cylinder that is 52.5 kg, has a 0.110-m radius, and has two 0.900-m-long arms which are 3.75 kg each and extend straight out from the cylinder like rods rotated about their ends.

View solution

Problem 12

The triceps muscle in the back of the upper arm extends the forearm. This muscle in a professional boxer exerts a force of 2.00×103 N2.00\times 10^{3}\textrm{ N} with an effective perpendicular lever arm of 3.00 cm, producing an angular acceleration of the forearm of 120 rad/s2120\textrm{ rad/s}^2. What is the moment of inertia of the boxer’s forearm?

View solution

Problem 13

A soccer player extends her lower leg in a kicking motion by exerting a force with the muscle above the knee in the front of her leg. She produces an angular acceleration of 30.00 rad/s230.00 \textrm{ rad/s}^2 and her lower leg has a moment of inertia of 0.750 kgm20.750 \textrm{ kg} \cdot \textrm{m}^2. What is the force exerted by the muscle if its effective perpendicular lever arm is 1.90 cm?

View solution

Problem 14

Suppose you exert a force of 180 N tangential to a 0.280-m-radius 75.0-kg grindstone (a solid disk). (a)What torque is exerted? (b) What is the angular acceleration assuming negligible opposing friction? (c) What is the angular acceleration if there is an opposing frictional force of 20.0 N exerted 1.50 cm from the axis?

View solution

Problem 15

Consider the 12.0 kg motorcycle wheel shown in Figure 10.38. Assume it to be approximately an annular ring with an inner radius of 0.280 m and an outer radius of 0.330 m. The motorcycle is on its center stand, so that the wheel can spin freely. (a) If the drive chain exerts a force of 2200 N at a radius of 5.00 cm, what is the angular acceleration of the wheel? (b) What is the tangential acceleration of a point on the outer edge of the tire? (c) How long, starting from rest, does it take to reach an angular velocity of 80.0 rad/s?

View solution

Problem 16

Zorch, an archenemy of Superman, decides to slow Earth’s rotation to once per 28.0 h by exerting an opposing force at and parallel to the equator. Superman is not immediately concerned, because he knows Zorch can only exert a force of 4.00×107 N4.00\times 10^{7}\textrm{ N} (a little greater than a Saturn V rocket’s thrust). How long must Zorch push with this force to accomplish his goal? (This period gives Superman time to devote to other villains.) Explicitly show how you follow the steps found in Problem-Solving Strategy for Rotational Dynamics.

View solution

Problem 17

An automobile engine can produce 200 N · m of torque. Calculate the angular acceleration produced if 95.0% of this torque is applied to the drive shaft, axle, and rear wheels of a car, given the following information. The car is suspended so that the wheels can turn freely. Each wheel acts like a 15.0 kg disk that has a 0.180 m radius. The walls of each tire act like a 2.00-kg annular ring that has inside radius of 0.180 m and outside radius of 0.320 m. The tread of each tire acts like a 10.0-kg hoop of radius 0.330 m. The 14.0-kg axle acts like a rod that has a 2.00-cm radius. The 30.0-kg drive shaft acts like a rod that has a 3.20-cm radius.

View solution

Problem 18

Starting with the formula for the moment of inertia of a rod rotated around an axis through one end perpendicular to its length (I=Ml23)\left ( I = \dfrac{Ml^2}{3} \right ) , prove that the moment of inertia of a rod rotated about an axis through its center perpendicular to its length is I=Ml212I = \dfrac{Ml^2}{12} . You will find the graphics in Figure 10.12 useful in visualizing these rotations. You will need the parallel axis theorem, a derivation of which is offered by AK Lectures.

View solution

Problem 19

A gymnast doing a forward flip lands on the mat and exerts a 500-N · m torque to slow and then reverse her angular velocity. Her initial angular velocity is 10.0 rad/s, and her moment of inertia is 0.050 kgm20.050 \textrm{ kg} \cdot \textrm{m}^2.(a) What time is required for her to exactly reverse her spin? (b) What is unreasonable about the result? (c) Which premises are unreasonable or inconsistent?

View solution

Problem 20

An advertisement claims that an 800-kg car is aided by its 20.0-kg flywheel, which can accelerate the car from rest to a speed of 30.0 m/s. The flywheel is a disk with a 0.150-m radius. (a) Calculate the angular velocity the flywheel must have if 95.0% of its rotational energy is used to get the car up to speed. (b) What is unreasonable about the result? (c) Which premise is unreasonable or which premises are inconsistent?

View solution

Section 10.4: Rotational Kinetic Energy: Work and Energy Revisited

Problem 21

This problem considers energy and work aspects of Example 10.7—use data from that example as needed. (a) Calculate the rotational kinetic energy in the merry-go-round plus child when they have an angular velocity of 20.0 rpm. (b) Using energy considerations, find the number of revolutions the father will have to push to achieve this angular velocity starting from rest. (c) Again, using energy considerations, calculate the force the father must exert to stop the merry-go- round in two revolutions

Exerpt from Example 10.7

Consider the father pushing a playground merry-go-round in Figure 10.13. He exerts a force of 250 N at the edge of the 50.0-kg merry-go-round, which has a 1.50 m radius.

View solution

Problem 23

(a) Calculate the rotational kinetic energy of Earth on its axis. (b) What is the rotational kinetic energy of Earth in its orbit around the Sun?

View solution

Problem 24

Calculate the rotational kinetic energy in the motorcycle wheel (Figure 10.38) if its angular velocity is 120 rad/s. Assume M = 12.0 kg, R1 = 0.280 m, and R2 = 0.330 m.

View solution

Problem 25

A baseball pitcher throws the ball in a motion where there is rotation of the forearm about the elbow joint as well as other movements. If the linear velocity of the ball relative to the elbow joint is 20.0 m/s at a distance of 0.480 m from the joint and the moment of inertia of the forearm is 0.500 kgm20.500 \textrm{ kg} \cdot \textrm{m}^2, what is the rotational kinetic energy of the forearm?

View solution

Problem 26

While punting a football, a kicker rotates his leg about the hip joint. The moment of inertia of the leg is 3.75 kgm23.75\textrm{ kg}\cdot\textrm{m}^2 and its rotational kinetic energy is 175 J. (a) What is the angular velocity of the leg? (b) What is the velocity of tip of the punter’s shoe if it is 1.05 m from the hip joint? (c) Explain how the football can be given a velocity greater than the tip of the shoe (necessary for a decent kick distance).

View solution

Problem 27

A bus contains a 1500 kg flywheel (a disk that has a 0.600 m radius) and has a total mass of 10,000 kg. (a) Calculate the angular velocity the flywheel must have to contain enough energy to take the bus from rest to a speed of 20.0 m/s, assuming 90.0% of the rotational kinetic energy can be transformed into translational energy. (b) How high a hill can the bus climb with this stored energy and still have a speed of 3.00 m/s at the top of the hill? Explicitly show how you follow the steps in the Problem-Solving Strategy for Rotational Energy.

View solution

Problem 28

A ball with an initial velocity of 8.00 m/s rolls up a hill without slipping. Treating the ball as a spherical shell, calculate the vertical height it reaches. (b) Repeat the calculation for the same ball if it slides up the hill without rolling.

View solution

Problem 29

While exercising in a fitness center, a man lies face down on a bench and lifts a weight with one lower leg by contracting the muscles in the back of the upper leg. (a) Find the angular acceleration produced given the mass lifted is 10.0 kg at a distance of 28.0 cm from the knee joint, the moment of inertia of the lower leg is 0.900 kgm20.900 \textrm{ kg} \cdot \textrm{m}^2, the muscle force is 1500 N, and its effective perpendicular lever arm is 3.00 cm. (b) How much work is done if the leg rotates through an angle of 20.020.0^\circ with a constant force exerted by the muscle?

View solution

Problem 30

To develop muscle tone, a woman lifts a 2.00-kg weight held in her hand. She uses her biceps muscle to flex the lower arm through an angle of 60.060.0^\circ. (a) What is the angular acceleration if the weight is 24.0 cm from the elbow joint, her forearm has a moment of inertia of 0.250 kg ⋅ m2 , and the net force she exerts is 750 N at an effective perpendicular lever arm of 2.00 cm? (b) How much work does she do?

View solution

Problem 31

Consider two cylinders that start down identical inclines from rest except that one is frictionless. Thus one cylinder rolls without slipping, while the other slides frictionlessly without rolling. They both travel a short distance at the bottom and then start up another incline. (a) Show that they both reach the same height on the other incline, and that this height is equal to their original height. (b) Find the ratio of the time the rolling cylinder takes to reach the height on the second incline to the time the sliding cylinder takes to reach the height on the second incline. (c) Explain why the time for the rolling motion is greater than that for the sliding motion.

View solution

Problem 32

What is the moment of inertia of an object that rolls without slipping down a 2.00-m-high incline starting from rest, and has a final velocity of 6.00 m/s? Express the moment of inertia as a multiple of MR2MR^2 , where MM is the mass of the object and RR is its radius.

View solution

Problem 33

Suppose a 200-kg motorcycle has two wheels like, the one described in Example 10.15 and is heading toward a hill at a speed of 30.0 m/s. (a) How high can it coast up the hill, if you neglect friction? (b) How much energy is lost to friction if the motorcycle only gains an altitude of 35.0 m before coming to rest?

View solution

Problem 34

In softball, the pitcher throws with the arm fully extended (straight at the elbow). In a fast pitch the ball leaves the hand with a speed of 139 km/h. (a) Find the rotational kinetic energy of the pitcher’s arm given its moment of inertia is 0.720 kgm20.720\textrm{ kg}\cdot\textrm{m}^2 and the ball leaves the hand at a distance of 0.600 m from the pivot at the shoulder. (b) What force did the muscles exert to cause the arm to rotate if their effective perpendicular lever arm is 4.00 cm and the ball is 0.156 kg?

View solution

Section 10.5: Angular Momentum and its Conservation

Problem 36

(a) Calculate the angular momentum of the Earth in its orbit around the Sun. (b) Compare this angular momentum with the angular momentum of Earth on its axis.

View solution

Problem 37

  1. What is the angular momentum of the Moon in its orbit around Earth?
  2. How does this angular momentum compare with the angular momentum of the Moon on its axis? Remember that the Moon keeps one side toward Earth at all times.
  3. Discuss whether the values found in parts (a) and (b) seem consistent with the fact that tidal effects with Earth have caused the Moon to rotate with one side always facing Earth.

View solution

Problem 38

Suppose you start an antique car by exerting a force of 300 N on its crank for 0.250 s. What angular momentum is given to the engine if the handle of the crank is 0.300 m from the pivot and the force is exerted to create maximum torque the entire time?

View solution

Problem 39

A playground merry-go-round has a mass of 120 kg and a radius of 1.80 m and it is rotating with an angular velocity of 0.500 rev/s. What is its angular velocity after a 22.0-kg child gets onto it by grabbing its outer edge? The child is initially at rest.

View solution

Problem 40

Three children are riding on the edge of a merry-go-round that is 100 kg, has a 1.60-m radius, and is spinning at 20.0 rpm. The children have masses of 22.0, 28.0, and 33.0 kg. If the child who has a mass of 28.0 kg moves to the center of the merry-go-round, what is the new angular velocity in rpm?

View solution

Problem 41

(a) Calculate the angular momentum of an ice skater spinning at 6.00 rev/s given his moment of inertia is 0.400 kgm20.400 \textrm{ kg} \cdot \textrm{m}^2. (b) He reduces his rate of spin (his angular velocity) by extending his arms and increasing his moment of inertia. Find the value of his moment of inertia if his angular velocity decreases to 1.25 rev/s. (c) Suppose instead he keeps his arms in and allows friction of the ice to slow him to 3.00 rev/s. What average torque was exerted if this takes 15.0 s?

View solution

Problem 42

Consider the Earth-Moon system. Construct a problem in which you calculate the total angular momentum of the system including the spins of the Earth and the Moon on their axes and the orbital angular momentum of the Earth-Moon system in its nearly monthly rotation. Calculate what happens to the Moon’s orbital radius if the Earth’s rotation decreases due to tidal drag. Among the things to be considered are the amount by which the Earth’s rotation slows and the fact that the Moon will continue to have one side always facing the Earth.

View solution

Section 10.6: Collisions of Extended Bodies in Two Dimensions

Problem 43

Repeat Example 10.15 in which the disk strikes and adheres to the stick 0.100 m from the nail.

Example 10.15

Suppose the disk in Figure 10.26 has a mass of 50.0 g and an initial velocity of 30.0 m/s when it strikes the stick that is 1.20 m long and 2.00 kg.
  1. What is the angular velocity of the two after the collision?
  2. What is the kinetic energy before and after the collision?
  3. What is the total linear momentum before and after the collision?

View solution

Problem 44

Repeat Example 10.15 in which the disk originally spins clockwise at 1000 rpm and has a radius of 1.50 cm. Example 10.15 Suppose the disk in Figure 10.26 has a mass of 50.0 g and an initial velocity of 30.0 m/s when it strikes the stick that is 1.20 m long and 2.00 kg. (a) What is the angular velocity of the two after the collision? (b) What is the kinetic energy before and after the collision? (c) What is the total linear momentum before and after the collision?

View solution

Problem 45

Twin skaters approach one another as shown in Figure 10.39 and lock hands. (a) Calculate their final angular velocity, given each had an initial speed of 2.50 m/s relative to the ice. Each has a mass of 70.0 kg, and each has a center of mass located 0.800 m from their locked hands. You may approximate their moments of inertia to be that of point masses at this radius. (b) Compare the initial kinetic energy and final kinetic energy.

View solution

Problem 46

Suppose a 0.250-kg ball is thrown at 15.0 m/s to a motionless person standing on ice who catches it with an outstretched arm as shown in Figure 10.40. (a) Calculate the final linear velocity of the person, given his mass is 70.0 kg. (b) What is his angular velocity if each arm is 5.00 kg? You may treat the ball as a point mass and treat the person's arms as uniform rods (each has a length of 0.900 m) and the rest of his body as a uniform cylinder of radius 0.180 m. Neglect the effect of the ball on his center of mass so that his center of mass remains in his geometrical center. (c) Compare the initial and final total kinetic energies.

View solution

Problem 47

Repeat Example 10.15 in which the stick is free to have translational motion as well as rotational motion.

Example 10.15

Suppose the disk in Figure 10.26 has a mass of 50.0 g and an initial velocity of 30.0 m/s when it strikes the stick that is 1.20 m long and 2.00 kg.
  1. What is the angular velocity of the two after the collision?
  2. What is the kinetic energy before and after the collision?
  3. What is the total linear momentum before and after the collision?

View solution

Section 10.7: Gyroscopic Effects: Vector Aspects of Angular Momentum

Problem 48

The axis of Earth makes a 23.523.5^\circ angle with a direction perpendicular to the plane of Earth’s orbit. As shown in Figure 10.41, this axis precesses, making one complete rotation in 25,780 y. (a) Calculate the change in angular momentum in half this time. (b) What is the average torque producing this change in angular momentum? (c) If this torque were created by a single force (it is not) acting at the most effective point on the equator, what would its magnitude be?

View solution

Test Prep for AP® Courses

Section 10.3: Dynamics of Rotational Motion: Rotational Inertia

Problem 1 (AP)

A piece of wood can be carved by spinning it on a motorized lathe and holding a sharp chisel to the edge of the wood as it spins. How does the angular velocity of a piece of wood with a radius of 0.2 m spinning on a lathe change when a chisel is held to the wood's edge with a force of 50 N?
  1. It increases by 0.1 N•m multiplied by the moment of inertia of the wood.
  2. It decreases by 0.1 N•m divided by the moment of inertia of the wood-and-lathe system.
  3. It decreases by 0.1 N•m multiplied by the moment of inertia of the wood.
  4. It decreases by 0.1 m/s2.

View solution

Problem 2 (AP)

A Ferris wheel is loaded with people in the chairs at the following positions: 4 o'clock, 1 o'clock, 9 o'clock, and 6 o'clock. As the wheel begins to turn, what forces are acting on the system? How will each force affect the angular velocity and angular momentum?

View solution

Problem 3 (AP)

A lever is placed on a fulcrum. A rock is placed on the left end of the lever and a downward (clockwise) force is applied to the right end of the lever. What measurements would be most effective to help you determine the angular momentum of the system? (Assume the lever itself has negligible mass.)
  1. the angular velocity and mass of the rock
  2. the angular velocity and mass of the rock, and the radius of the lever
  3. the velocity of the force, the radius of the lever, and the mass of the rock
  4. the mass of the rock, the length of the lever on both sides of the fulcrum, and the force applied on the right side of the lever

View solution

Problem 4 (AP)

You can use the following setup to determine angular acceleration and angular momentum: A lever is placed on a fulcrum. A rock is placed on the left end of the lever and a known downward (clockwise) force is applied to the right end of the lever. What calculations would you perform? How would you account for gravity in your calculations?

View solution

Problem 5 (AP)

Consider two sizes of disk, both of mass M. One size of disk has radius R; the other has radius 2R. System A consists of two of the larger disks rigidly connected to each other with a common axis of rotation. System B consists of one of the larger disks and a number of the smaller disks rigidly connected with a common axis of rotation. If the moment of inertia for system A equals the moment of inertia for system B, how many of the smaller disks are in system B?
  1. 1
  2. 2
  3. 3
  4. 4

View solution

Section 10.4: Rotational Kinetic Energy: Work and Energy Revisited

Problem 7 (AP)

Gear A, which turns clockwise, meshes with gear B, which turns counterclockwisWhen more force is applied through gear A, torque is createHow does the angular velocity of gear B change as a result?
  1. It increases in magnitude.
  2. It decreases in magnitude.
  3. It changes direction.
  4. It stays the same

View solution

Problem 8 (AP)

Which will cause a greater increase in the angular velocity of a disk: doubling the torque applied or halving the radius at which the torque is applied? Explain.

View solution

Problem 9 (AP)

Which measure would not be useful to help you determine the change in angular velocity when the torque on a fishing reel is increased?
  1. the radius of the reel
  2. the amount of line that unspools
  3. the angular momentum of the fishing line
  4. the time it takes the line to unspool

View solution

Problem 10 (AP)

What data could you collect to study the change in angular velocity when two people push a merry-go-round instead of one, providing twice as much torque? How would you use the data you collect?

View solution

Section 10.5: Angular Momentum and its Conservation

Problem 11 (AP)

Which rotational system would be best to use as a model to measure how angular momentum changes when forces on the system are changed?
  1. a fishing reel
  2. a planet and its moon
  3. a figure skater spinning
  4. a person's lower leg

View solution

Problem 12 (AP)

You are collecting data to study changes in the angular momentum of a bicycle wheel when a force is applied to it. Which of the following measurements would be least helpful to you?
  1. the time for which the force is applied
  2. the radius at which the force is applied
  3. the angular velocity of the wheel when the force is applied
  4. the direction of the force

View solution

Problem 13 (AP)

Which torque applied to a disk with radius 7.0 cm for 3.5 s will produce an angular momentum of 25 N•m•s?
  1. 7.1 N•m
  2. 357.1 N•m
  3. 3.6 N•m
  4. 612.5 N•m

View solution

Problem 14 (AP)

Which of the following would be the best way to produce measurable amounts of torque on a system to test the relationship between the angular momentum of the system, the average torque applied to the system, and the time for which the torque is applied?
  1. having different numbers of people push on a merry-go- round
  2. placing known masses on one end of a seesaw
  3. touching the outer edge of a bicycle wheel to a treadmill that is moving at different speeds
  4. hanging known masses from a string that is wound around a spool suspended horizontally on an axle

View solution

Problem 15 (AP)

The diagram below shows a top view of a child of mass M on a circular platform of mass 2M that is rotating counterclockwise. Assume the platform rotates without friction. Which of the following describes an action by the child that will increase the angular speed of the platform- child system and why?
  1. The child moves toward the center of the platform, increasing the total angular momentum of the system.
  2. The child moves toward the center of the platform, decreasing the rotational inertia of the system.
  3. The child moves away from the center of the platform, increasing the total angular momentum of the system.
  4. The child moves away from the center of the platform, decreasing the rotational inertia of the system.

View solution

Problem 16 (AP)

A moon is in an elliptical orbit about a planet as shown above. At point AA the moon has speed uAu_A and is at distance RAR_A from the planet. At point BB the moon has speed uBu_B. Has the moon's angular momentum changed? Explain your answer.

View solution

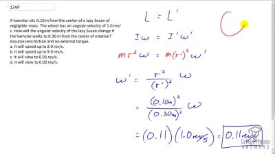
Problem 17 (AP)

A hamster sits 0.10 m from the center of a lazy Susan of negligible mass. The wheel has an angular velocity of 1.0 rev/ s. How will the angular velocity of the lazy Susan change if the hamster walks to 0.30 m from the center of rotation? Assume zero friction and no external torque.
  1. It will speed up to 2.0 rev/s.
  2. It will speed up to 9.0 rev/s.
  3. It will slow to 0.01 rev/s.
  4. It will slow to 0.02 rev/s.

View solution

Problem 18 (AP)

Earth has a mass of 6.0×1024 kg6.0\times 10^{24}\textrm{ kg}, a radius of 6.4×106 m6.4\times 10^{6}\textrm{ m}, and an angular velocity of 1.2×105 rev/s1.2\times 10^{-5}\textrm{ rev/s}. How would the planet's angular velocity change if a layer of Earth with mass 1.0×1023 kg1.0\times 10^{23}\textrm{ kg} broke off of the Earth, decreasing Earth's radius by 0.2×106 m0.2\times 10^{6}\textrm{ m}? Assume no friction.

View solution

Problem 19 (AP)

Consider system A, consisting of two disks of radius R, with both rotating clockwise. Now consider system B, consisting of one disk of radius R rotating counterclockwise and another disk of radius 2R rotating clockwise. All of the disks have the same mass, and all have the same magnitude of angular velocity. Which system has the greatest angular momentum?
  1. A
  2. B
  3. They're equal
  4. Not enough information

View solution

Problem 20 (AP)

Assume that a baseball bat being swung at 3π rad/s by a batting machine is equivalent to a 1.1 m thin rod with a mass of 1.0 kg. How fast would a 0.15 kg baseball that squarely hits the very tip of the bat have to be going for the net angular momentum of the bat-ball system to be zero?

View solution

Section 10.6: Collisions of Extended Bodies in Two Dimensions

Problem 21 (AP)

A box with a mass of 2.0 kg rests on one end of a seesaw. The seesaw is 6.0 m long, and we can assume it has negligible mass. Approximately what angular momentum will the box have if someone with a mass of 65 kg sits on the other end of the seesaw quickly, with a velocity of 1.2 m/s?
  1. 702  kgm2/s\textrm{ kg} \cdot \textrm{m}^2 \textrm{/s}
  2. 39  kgm2/s\textrm{ kg} \cdot \textrm{m}^2 \textrm{/s}
  3. 18  kgm2/s\textrm{ kg} \cdot \textrm{m}^2 \textrm{/s}
  4. 1.2  kgm2/s\textrm{ kg} \cdot \textrm{m}^2 \textrm{/s}

View solution

Problem 22 (AP)

A spinner in a board game can be thought of as a thin rod that spins about an axis at its center. The spinner in a certain game is 12 cm long and has a mass of 10 g. How will its angular velocity change when it is flicked at one end with a force equivalent to 15 g travelling at 5.0 m/s if all the energy of the collision is transferred to the spinner? (You can use the table in Figure 10.12 to estimate the rotational inertia of the spinner.)

View solution

Problem 23 (AP)

A cyclist pedals to exert a torque on the rear wheel of the bicycle. When the cyclist changes to a higher gear, the torque increases. Which of the following would be the most effective strategy to help you determine the change in angular momentum of the bicycle wheel?
  1. multiplying the ratio between the two torques by the mass of the bicycle and rider
  2. adding the two torques together, and multiplying by the time for which both torques are applied
  3. multiplying the difference in the two torques by the time for which the new torque is applied
  4. multiplying both torques by the mass of the bicycle and rider

View solution

Problem 24 (AP)

An electric screwdriver has two speeds, each of which exerts a different torque on a screw. Describe what calculations you could use to help you compare the angular momentum of a screw at each speed. What measurements would you need to make in order to calculate this?

View solution

Problem 25 (AP)

Why is it important to consider the shape of an object when determining the object's angular momentum?
  1. The shape determines the location of the center of mass. The location of the center of mass in turn determines the angular velocity of the object.
  2. The shape helps you determine the location of the object's outer edge, where rotational velocity will be greatest.
  3. The shape helps you determine the location of the center of rotation.
  4. The shape determines the location of the center of mass. The location of the center of mass contributes to the object's rotational inertia, which contributes to its angular momentum.

View solution

Problem 27 (AP)

Describe a rotational system you could use to demonstrate the effect on the system's angular momentum of applying different amounts of external torque.

View solution

Problem 28 (AP)

How could you use simple equipment such as balls and string to study the changes in angular momentum of a system when it interacts with another system?

View solution

Section 10.7: Gyroscopic Effects: Vector Aspects of Angular Momentum

Problem 29 (AP)

A globe (model of the Earth) is a hollow sphere with a radius of 16 cm. By wrapping a cord around the equator of a globe and pulling on it, a person exerts a torque on the globe of 120 N • m for 1.2 s. What angular momentum does the globe have after 1.2 s?

View solution

Problem 30 (AP)

How could you use a fishing reel to test the relationship between the torque applied to a system, the time for which the torque was applied, and the resulting angular momentum of the system? How would you measure angular momentum?

View solution