Question
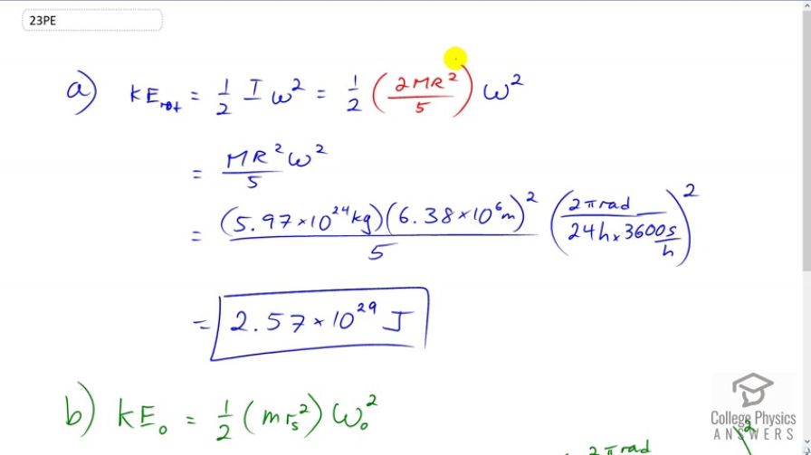
(a) Calculate the rotational kinetic energy of Earth on its axis. (b) What is the rotational kinetic energy of Earth in its orbit around the Sun?
Final Answer
a)
b)
Solution video
OpenStax College Physics for AP® Courses, Chapter 10, Problem 23 (Problems & Exercises)

vote with a rating of
votes with an average rating of
.
Calculator Screenshots
Video Transcript
This is College Physics Answers with Shaun Dychko. The rotational kinetic energy of the Earth’s rotation about its axis at the center of the Earth is one half times the moment of inertia of the sphere which is two times the mass of the Earth times its radius squared divided by five, and then we multiply that by the angular velocity of the Earth squared. So the twos cancelled there, and so we’re left with MR squared omega squared over five, and we have mass of the Earth is 5.97 times ten to the 24 kilograms multiplied by 6.38 times ten to the six meters radius squared, and we divide by five, then we multiply by the angular velocity which is one full rotation per day and there’s 24 hours in a day, then we convert 24 hours into seconds by multiplying by 3600 seconds per hour, and then we square this result. Then we end up with 2.57 times ten to the 29 Joules. Now the kinetic energy of the Earth’s orbit around the sun, is going to be one half multiplied by a moment of inertia modelled as a point mass multiplied by its orbital angular velocity squared. So that’s one half times 5.97 times ten to the 24 kilograms times 1.496 times ten to the 11 meters distance from the Earth to the sun squared, and then multiply that by one full rotation, 2 pi radians per year which is 365 and a quarter days converted into seconds by multiplying by 24 hours per day and then by 3600 seconds per hour. And then square that results, and you end up with 2.65 times ten to the 33 Joules.