Question
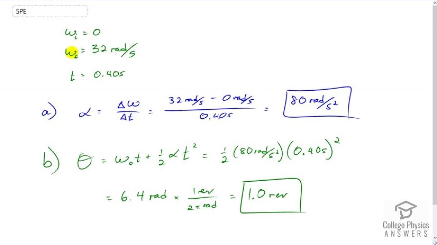
With the aid of a string, a gyroscope is accelerated from rest to 32 rad/s in 0.40 s.
- What is its angular acceleration in rad/s2?
- How many revolutions does it go through in the process?
Final Answer
a)
b)
Solution video
OpenStax College Physics for AP® Courses, Chapter 10, Problem 5 (Problems & Exercises)

vote with a rating of
votes with an average rating of
.
Calculator Screenshots
Video Transcript
This is College Physics Answers with Shaun Dychko. The initial speed of the gyroscope is zero and its final speed is 32 radians per second and it achieves this change in angular velocity in a time of 0.4 seconds. So its angular acceleration is that change in angular velocity divided by time. 32 radians per second final minus zero initial angular velocity divided by 0.4 seconds gives 80 radians per second squared angular acceleration. The number of revolutions that it does in this time of 0.4 seconds is given by this formula and the initial angular velocity is zero so that term disappears and so we have one half times angular acceleration times time squared. So that's one half times 80, times 0.4 seconds squared giving us 6.4 radians of angular displacement. Now we want to know the number of revolutions so we multiply the radians by one revolution for every two pi radians and we get 1.0 revolutions.