Question
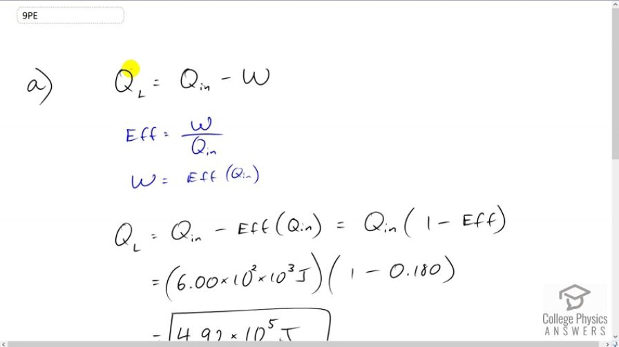
(a) A woman climbing the Washington Monument metabolizes of food energy. If her efficiency is 18.0%, how much heat transfer occurs to the environment to keep her temperature constant? (b) Discuss the amount of heat transfer found in (a). Is it consistent with the fact that you quickly warm up when exercising?
Final Answer
Solution video
OpenStax College Physics, Chapter 15, Problem 9 (Problems & Exercises)

vote with a rating of
votes with an average rating of
.
Calculator Screenshots
Video Transcript
This is College Physics Answers with Shaun Dychko. As this woman climbs the Washington Monument, she's metabolizing a certain amount of food energy. And the amount of energy that she loses to the environment is going to be the difference between the total food energy consumed minus the work done. And we want to figure out what QL is and we know what Qin is but we don't know W. But we do know her efficiency. So efficiency is the work done divided by the total energy consumed. And we can solve this for W by multiplying both sides by Qin. And we get the work done is efficiency multiplied by the total energy consumed. And so we substitute that for W here, which normally I write in red when I do a substitution. Okay, so we replace W here. And, there's a common factor, Qin here and just to make it look nice, we can factor that out. So the energy lost to the environment is the energy consumed, times 1 minus the efficiency. So it's 6... let's take a look at this... this is 6 times 10 to the 2 kilojoules. so there's a prefix kilo means times 10 to the 3. So we have times 10 to the 2 times 10 to the 3 here. And that's where this comes from. And then multiplied by 1 minus .18 efficiency and this is 4.92 times 10 to the 5 Joules of heat energy is lost to the environment. Now, the next part says: "Discuss the amount of heat transfer found in (a)." So I'm imagining that comparing it to a 1000-watt heater, which is a typical space heater in a house that's plugged in to the wall. And so the power output of a space heater is the energy output in heat divided by the time. And so we can solve for t by multiplying both sides by t over P. And so we have time is Q over P. And the reason we're doing this is we're finding the amount of time it would take a 1000-watt heater to output the same heat that this woman has output. And so the woman has output 4.92 times 10 to the 5 Joules and we'll divide that by this hypothetical 1000-watts for some imaginary space heater and this works out to 492 seconds and we multiply that by 1 minute per 60 seconds, which is 8.2 minutes. And so, this 1000-watt heater can output a lot of heat energy and you can feel how much it would put out in 8.2 minutes. And so, that gives us a point of comparison to say that this heat output of the woman during the climb is quite significant.