Question
A car tire contains of air at a pressure of
(about 32 psi). How much more internal
energy does this gas have than the same volume has at zero gauge pressure (which is equivalent to normal atmospheric pressure)?
Final Answer
Solution video
OpenStax College Physics, Chapter 15, Problem 10 (Problems & Exercises)

vote with a rating of
votes with an average rating of
.
Calculator Screenshots
Video Transcript
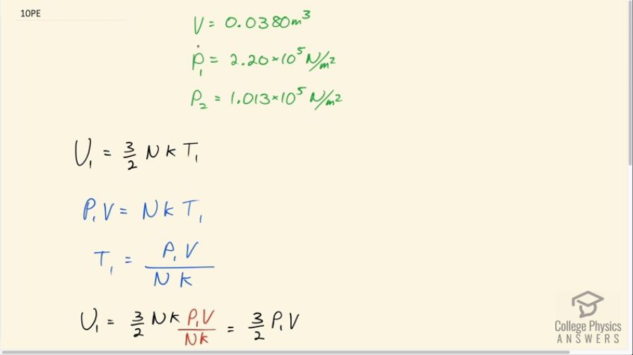
This is College Physics Answers with Shaun Dychko. We are going to find the difference in internal energy inside a car tire given two different pressures. It has a volume of 0.0380 cubic meters and the first pressure is 2.20 times 10 to the 5 newtons per square meter and the second pressure is a zero gauge pressure or in absolute terms, it's atmospheric pressure which is 1.013 times 10 to the 5 newtons per square meter. So the internal energy in the first case— because we'll assume that this is a monoatomic ideal gas— is 3 over 2 times the number of atoms times the Boltzmann's constant times temperature 1 and we don't know what temperature 1 is so we need to find some way to replace T 1 using stuff that we do know. So we know that pressure times volume is the number of atoms times Boltzmann's constant times the temperature so in the first case, we have P 1 and we have T 1. We don't need a subscript on the V; there's no need to write V 1 because the volume is constant between the two different scenarios so we'll just call it V. So we solve for T 1 by dividing both sides by Nk and so T 1 is P 1V over Nk. So we can replace T 1 with all of that and we do that here and the Nk's cancel and the internal energy in the first case then is 3 over 2 times P 1 times V. We could use the same logic to find U 2 which is 3 over 2 times P 2 times V. and then we have to find the difference between these two internal energies. So U 1 minus U 2 is 3 over 2 P 1V minus 3 over 2 P 2V and we can factor out the 3 over 2V from both these terms and we have 3 over 2V times P 1 minus P 2. So that's 3 over 2 times 0.0380 cubic meters times 2.20 times 10 to the 5 newtons per square meter minus atmospheric pressure and that gives 6.77 times 10 to the 3 joules is the difference in internal energy between those two pressures.