Question
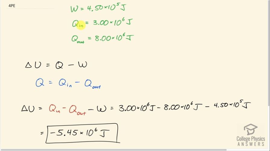
What is the change in internal energy of a system which does of work while of heat transfer occurs into the system, and of heat transfer occurs to the environment?
Final Answer
Solution video
OpenStax College Physics, Chapter 15, Problem 4 (Problems & Exercises)

vote with a rating of
votes with an average rating of
.
Calculator Screenshots
Video Transcript
This is College Physics Answers with Shaun Dychko. A system does 4.50 times 10 to the 5 joules of work and 3.00 times 10 to the 6 joules of heat go into the system and 8.00 times 10 to the 6 joules of heat goes out of the system. So the question is what is the change in internal energy? That's gonna be Q minus w and Q is the total heat in minus the total heat out of the system so it's the net heat into the system in other words. So we replace Q with Q in minus Q out. And so that's going to be 3.00 times 10 to the 6 joules of heat in minus 8.00 times 10 to the 6 joules of heat out and then this works out to a negative 5.45 times 10 to the 6 joules of heat into the system and the negative indicating that it is actually out of the system in net terms and then minus from that 4.50 times 10 to the 5 joules of work done by the system; this works out to negative 5.45 times 10 to the 6 joules.