Question
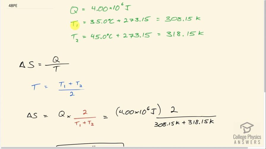
On a hot summer day, of heat transfer into a parked car takes place, increasing its temperature from to . What is the increase in entropy of the
car due to this heat transfer alone?
Final Answer
Solution video
OpenStax College Physics, Chapter 15, Problem 48 (Problems & Exercises)

vote with a rating of
votes with an average rating of
.
Calculator Screenshots
Video Transcript
This is College Physics Answers with Shaun Dychko. On a hot summer day, 4.00 times 10 to the 6 joules of heat transfers into a parked car and raises its temperature from 35.0 degrees Celsius to 45.0 degrees Celsius and the question is what is the change of entropy in the car? So change in entropy is the amount of heat transferred into the system divided by its temperature but we don't have a single temperature here so we'll just take its average after converting into Kelvin by adding 273.15. So the temperature in this change in entropy formula is gonna be T 1 plus T 2 divided by 2. And now since we are dividing by this T, I am gonna instead multiply it by the reciprocal of this fraction so ΔS then is gonna be Q times 2 over T 1 plus T 2. So that's 4.00 times 10 to the 6 joules times 2 over 308.15 Kelvin plus 318.15 Kelvin which is 1.28 times 10 to the 4 joules per Kelvin increase in entropy.