Chapter 15

Chapter thumbnail
A steam engine uses heat transfer to do work. Tourists regularly ride this narrow-gauge steam engine train near the San Juan Skyway in Durango, Colorado, part of the National Scenic Byways Program.

Chapter 15 : Thermodynamics - all with Video Solutions

Problems & Exercises

Section 15.1: The First Law of Thermodynamics

Problem 1

What is the change in internal energy of a car if you put 12.0 gal of gasoline into its tank? The energy content of gasoline is 1.3×108 J/gal1.3 \times 10^8 \textrm{ J/gal} . All other factors, such as the car's temperature, are constant.

View solution

Problem 3

A system does 1.80×108 J1.80 \times 10^8 \textrm{ J} of work while 7.50×108 J7.50 \times 10^8 \textrm{ J} of heat transfer occurs to the environment. What is the change in internal energy of the system assuming no other changes (such as in temperature or by the addition of fuel)?

View solution

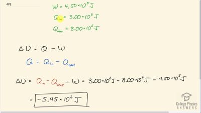
Problem 4

What is the change in internal energy of a system which does 4.50×105 J4.50\times 10^{5}\textrm{ J} of work while 3.00×106 J3.00\times 10^{6}\textrm{ J} of heat transfer occurs into the system, and 8.00×106 J8.00\times 10^{6}\textrm{ J} of heat transfer occurs to the environment?

View solution

Problem 5

Suppose a woman does 500 J of work and 9500 J of heat transfer occurs into the environment in the process. (a) What is the decrease in her internal energy, assuming no change in temperature or consumption of food? (That is, there is no other energy transfer.) (b) What is her efficiency?

View solution

Problem 6

(a) How much food energy will a man metabolize in the process of doing 35.0 kJ of work with an efficiency of 5.00%? (b) How much heat transfer occurs to the environment to keep his temperature constant? Explicitly show how you follow the steps in the Problem-Solving Strategy for thermodynamics found in Problem-Solving Strategies for Thermodynamics.

View solution

Problem 7

(a) What is the average metabolic rate in watts of a man who metabolizes 10,500 kJ of food energy in one day? (b) What is the maximum amount of work in joules he can do without breaking down fat, assuming a maximum efficiency of 20.0%? (c) Compare his work output with the daily output of a 187-W (0.250-horsepower) motor.

View solution

Problem 8

(a) How long will the energy in a 1470-kJ (350-kcal) cup of yogurt last in a woman doing work at the rate of 150 W with an efficiency of 20.0% (such as in leisurely climbing stairs)? (b) Does the time found in part (a) imply that it is easy to consume more food energy than you can reasonably expect to work off with exercise?

View solution

Problem 9

(a) A woman climbing the Washington Monument metabolizes 6.00×102 kJ6.00 \times 10^2 \textrm{ kJ} of food energy. If her efficiency is 18.0%, how much heat transfer occurs to the environment to keep her temperature constant? (b) Discuss the amount of heat transfer found in (a). Is it consistent with the fact that you quickly warm up when exercising?

View solution

Section 15.2: The First Law of Thermodynamics and Some Simple Processes

Problem 10

A car tire contains 0.0380 m30.0380 \textrm{ m}^3 of air at a pressure of 2.20×105 N/m22.20\times 10^{5}\textrm{ N/m}^2 (about 32 psi). How much more internal energy does this gas have than the same volume has at zero gauge pressure (which is equivalent to normal atmospheric pressure)?

View solution

Problem 11

A helium-filled toy balloon has a gauge pressure of 0.200 atm and a volume of 10.0 L. How much greater is the internal energy of the helium in the balloon than it would be at zero gauge pressure?

View solution

Problem 12

Steam to drive an old-fashioned steam locomotive is supplied at a constant gauge pressure of 1.75×106 N/m21.75\times 10^{6} \textrm{ N/m}^2 (about 250 psi) to a piston with a 0.200-m radius. (a) By calculating PΔVP\Delta V , find the work done by the steam when the piston moves 0.800 m. Note that this is the net work output, since gauge pressure is used. (b) Now find the amount of work by calculating the force exerted times the distance traveled. Is the answer the same as in part (a)?

View solution

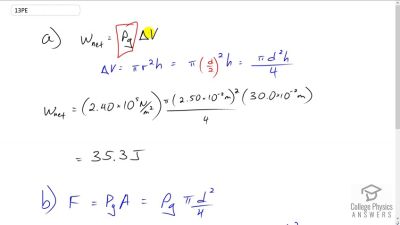
Problem 13

A hand-driven tire pump has a piston with a 2.50-cm diameter and a maximum stroke of 30.0 cm. (a) How much work do you do in one stroke if the average gauge pressure is 2.40×105 N/m22.40 \times 10^5 \textrm{ N/m}^2 (about 35 psi)? (b) What average force do you exert on the piston, neglecting friction and gravitational force?

View solution

Problem 15

What is the net work output of a heat engine that follows path ABDA in the figure above, with a straight line from B to D? Why is the work output less than for path ABCDA? Explicitly show how you follow the steps in the Problem- Solving Strategies for Thermodynamics.

View solution

Problem 16

What is wrong with the claim that a cyclical heat engine does 4.00 kJ of work on an input of 24.0 kJ of heat transfer while 16.0 kJ of heat transfers to the environment?

View solution

Problem 17

(a) A cyclical heat engine, operating between temperatures of 450C450^\circ\textrm{C} and 150C150^\circ\textrm{C} produces 4.00 MJ of work on a heat transfer of 5.00 MJ into the engine. How much heat transfer occurs to the environment? (b) What is unreasonable about the engine? (c) Which premise is unreasonable?

View solution

Section 15.3: Introduction to the Second Law of Thermodynamics: Heat Engines and Their Efficiency

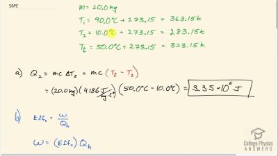
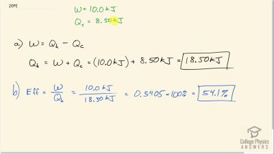
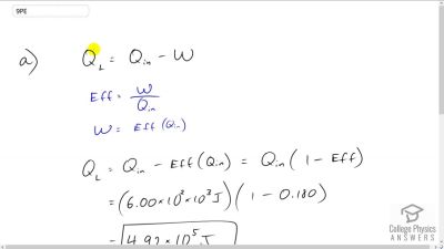
Problem 20

A certain heat engine does 10.0 kJ of work and 8.50 kJ of heat transfer occurs to the environment in a cyclical process. (a) What was the heat transfer into this engine? (b) What was the engine’s efficiency?

View solution

Problem 21

With 2.56×106 J2.56 \times 10^6 \textrm{ J} of heat transfer into this engine, a given cyclical heat engine can do only 1.50×105 J1.50 \times 10^5 \textrm{ J} of work. (a) What is the engine's efficiency? (b) How much heat transfer to the environment takes place?

View solution

Problem 22

(a) What is the work output of a cyclical heat engine having a 22.0% efficiency and 6.00×109 J6.00\times 10^{9}\textrm{ J} of heat transfer into the engine? (b) How much heat transfer occurs to the environment?

View solution

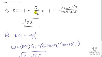
Problem 23

(a) What is the efficiency of a cyclical heat engine in which 75.0 kJ of heat transfer occurs to the environment for every 95.0 kJ of heat transfer into the engine? (b) How much work does it produce for 100 kJ of heat transfer into the engine?

View solution

Problem 24

The engine of a large ship does 2.00×108 J2.00\times 10^{8}\textrm{ J} of work with an efficiency of 5.00%. (a) How much heat transfer occurs to the environment? (b) How many barrels of fuel are consumed, if each barrel produces 6.00×109 J6.00\times 10^{9}\textrm{ J} of heat transfer when burned?

View solution

Problem 25

(a) How much heat transfer occurs to the environment by an electrical power station that uses 1.25×1014 J1.25 \times 10^{14} \textrm{ J} of heat transfer into the engine with an efficiency of 42.0%? (b) What is the ratio of heat transfer to the environment to work output? (c) How much work is done?

View solution

Problem 26

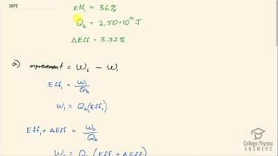
Assume that the turbines at a coal-powered power plant were upgraded, resulting in an improvement in efficiency of 3.32%. Assume that prior to the upgrade the power station had an efficiency of 36% and that the heat transfer into the engine in one day is still the same at 2.50×1014 J2.50\times 10^{14}\textrm{ J}. (a) How much more electrical energy is produced due to the upgrade? (b) How much less heat transfer occurs to the environment due to the upgrade?

View solution

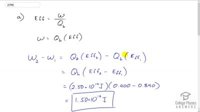
Problem 27

This problem compares the energy output and heat transfer to the environment by two different types of nuclear power stations—one with the normal efficiency of 34.0%, and another with an improved efficiency of 40.0%. Suppose both have the same heat transfer into the engine in one day, 2.50×1014 J2.50 \times 10^{14} \textrm{ J} . (a) How much more electrical energy is produced by the more efficient power station? (b) How much less heat transfer occurs to the environment by the more efficient power station? (One type of more efficient nuclear power station, the gas-cooled reactor, has not been reliable enough to be economically feasible in spite of its greater efficiency.)

View solution

Section 15.4: Carnot's Perfect Heat Engine: The Second Law of Thermodynamics Restated

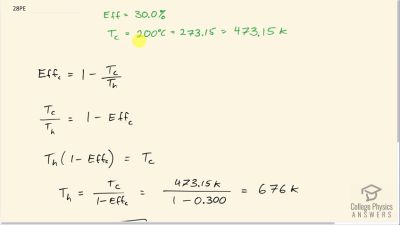
Problem 28

A certain gasoline engine has an efficiency of 30.0%. What would the hot reservoir temperature be for a Carnot engine having that efficiency, if it operates with a cold reservoir temperature of 200C200^\circ\textrm{C}?

View solution

Problem 29

A gas-cooled nuclear reactor operates between hot and cold reservoir temperatures of 700C700^\circ\textrm{C} and 27.0C27.0^\circ\textrm{C} . (a) What is the maximum efficiency of a heat engine operating between these temperatures? (b) Find the ratio of this efficiency to the Carnot efficiency of a standard nuclear reactor (found in Example 15.4).

View solution

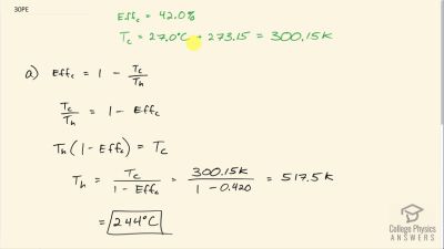
Problem 30

(a) What is the hot reservoir temperature of a Carnot engine that has an efficiency of 42.0% and a cold reservoir temperature of 27.0C27.0^\circ\textrm{C}? (b) What must the hot reservoir temperature be for a real heat engine that achieves 0.700 of the maximum efficiency, but still has an efficiency of 42.0% (and a cold reservoir at 27.0C27.0^\circ\textrm{C})? (c) Does your answer imply practical limits to the efficiency of car gasoline engines?

View solution

Problem 31

Steam locomotives have an efficiency of 17.0% and operate with a hot steam temperature of 425C425^\circ\textrm{C}. (a) What would the cold reservoir temperature be if this were a Carnot engine? (b) What would the maximum efficiency of this steam engine be if its cold reservoir temperature were 150C150^\circ\textrm{C}?

View solution

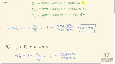
Problem 32

Practical steam engines utilize 450C450^\circ\textrm{C} steam, which is later exhausted at 270C270^\circ\textrm{C}. (a) What is the maximum efficiency that such a heat engine can have? (b) Since 270C270^\circ\textrm{C} steam is still quite hot, a second steam engine is sometimes operated using the exhaust of the first. What is the maximum efficiency of the second engine if its exhaust has a temperature of 150C150^\circ\textrm{C}? (c) What is the overall efficiency of the two engines? (d) Show that this is the same efficiency as a single Carnot engine operating between 450C450^\circ\textrm{C} and 150C150^\circ\textrm{C}. Explicitly show how you follow the steps in the Problem-Solving Strategies for Thermodynamics.

View solution

Problem 33

A coal-fired electrical power station has an efficiency of 38%. The temperature of the steam leaving the boiler is 550C550^\circ\textrm{C}. What percentage of the maximum efficiency does this station obtain? (Assume the temperature of the environment is 20C20^\circ\textrm{C}.)

View solution

Problem 34

Would you be willing to financially back an inventor who is marketing a device that she claims has 25 kJ of heat transfer at 600 K, has heat transfer to the environment at 300 K, and does 12 kJ of work? Explain your answer.

View solution

Problem 35

(a) Suppose you want to design a steam engine that has heat transfer to the environment at 270C270^\circ\textrm{C} and has a Carnot efficiency of 0.800. What temperature of hot steam must you use? (b) What is unreasonable about the temperature? (c) Which premise is unreasonable?

View solution

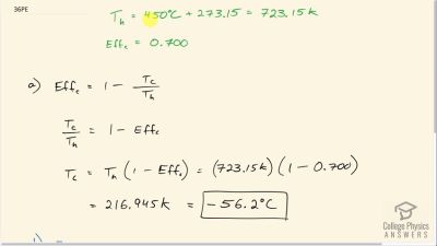
Problem 36

Calculate the cold reservoir temperature of a steam engine that uses hot steam at 450C450^\circ\textrm{C} and has a Carnot efficiency of 0.700. (b) What is unreasonable about the temperature? (c) Which premise is unreasonable?

View solution

Section 15.5: Applications of Thermodynamics: Heat Pumps and Refrigerators

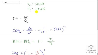
Problem 37

What is the coefficient of performance of an ideal heat pump that has heat transfer from a cold temperature of 25.0C-25.0^\circ\textrm{C} to a hot temperature of 40.0C40.0^\circ\textrm{C}?

View solution

Problem 38

Suppose you have an ideal refrigerator that cools an environment at 20.0C-20.0^\circ\textrm{C} and has heat transfer to another environment at 50.0C50.0^\circ\textrm{C}. What is its coefficient of performance?

View solution

Problem 39

What is the best coefficient of performance possible for a hypothetical refrigerator that could make liquid nitrogen at 200C-200^\circ\textrm{C} and has heat transfer to the environment at 35.0C35.0^\circ\textrm{C}?

View solution

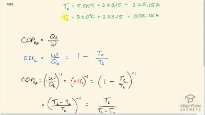
Problem 40

In a very mild winter climate, a heat pump has heat transfer from an environment at 5.00C5.00^\circ\textrm{C} to one at 35.0C35.0^\circ\textrm{C}. What is the best possible coefficient of performance for these temperatures? Explicitly show how you follow the steps in the Problem-Solving Strategies for Thermodynamics.

View solution

Problem 41

(a) What is the best coefficient of performance for a heat pump that has a hot reservoir temperature of 50.0C50.0^\circ\textrm{C} and a cold reservoir temperature of 20.0C-20.0^\circ\textrm{C}? (b) How much heat transfer occurs into the warm environment if 3.60×107 J3.60 \times 10^7 \textrm{ J} of work (10.0 kWh10.0\textrm{ kW} \cdot \textrm{h}) is put into it? (c) If the cost of this work input is 10.0 cents / kWh10.0 \textrm{ cents / kW} \cdot \textrm{h}, how does its cost compare with the direct heat transfer achieved by burning natural gas at a cost of 85.0 cents per therm. (A therm is a common unit of energy for natural gas and equals 1.055×108 J1.055 \times 10^8 \textrm{ J}.)

View solution

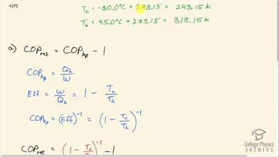
Problem 42

(a) What is the best coefficient of performance for a refrigerator that cools an environment at 30.0C-30.0^\circ\textrm{C} and has heat transfer to another environment at 45.0C45.0^\circ\textrm{C} ? (b) How much work in joules must be done for a heat transfer of 4186 kJ from the cold environment? (c) What is the cost of doing this if the work costs 10.0 cents per 3.60×106 J3.60\times 10^{6}\textrm{ J} (a kilowatt-hour)? (d) How many kJ of heat transfer occurs into the warm environment? (e) Discuss what type of refrigerator might operate between these temperatures.

View solution

Problem 43

Suppose you want to operate an ideal refrigerator with a cold temperature of 10.0C-10.0^\circ\textrm{C}, and you would like it to have a coefficient of performance of 7.00. What is the hot reservoir temperature for such a refrigerator?

View solution

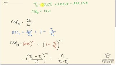
Problem 44

An ideal heat pump is being considered for use in heating an environment with a temperature of 22.0C22.0^\circ\textrm{C}. What is the cold reservoir temperature if the pump is to have a coefficient of performance of 12.0?

View solution

Problem 45

A 4-ton air conditioner removes 5.06×107 J5.06 \times 10^7 \textrm{ J} (48,000 British thermal units) from a cold environment in 1.00 h. (a) What energy input in joules is necessary to do this if the air conditioner has an energy efficiency rating (EER) of 12.0? (b) What is the cost of doing this if the work costs 10.0 cents per 3.60×106 J3.60 \times 10^6 \textrm{ J} (one kilowatt-hour)? (c) Discuss whether this cost seems realistic. Note that the energy efficiency rating (EER) of an air conditioner or refrigerator is defined to be the number of British thermal units of heat transfer from a cold environment per hour divided by the watts of power input.

View solution

Problem 46

Show that the coefficients of performance of refrigerators and heat pumps are related by COPref=COPhp1\textrm{COP}_\textrm{ref} = \textrm{COP}_\textrm{hp}-1. Start with the definitions of the COP\textrm{COP}'s and the conservation of energy relationship between QhQ_\textrm{h} , QcQ_\textrm{c} , and WW.

View solution

Section 15.6: Entropy and the Second Law of Thermodynamics

Problem 47

(a) On a winter day, a certain house loses 5.00×108 J5.00 \times 10^8 \textrm{ J} of heat to the outside (about 500,000 Btu). What is the total change in entropy due to this heat transfer alone, assuming an average indoor temperature of 21.0C21.0^\circ\textrm{C} and an average outdoor temperature of 5.00C5.00^\circ\textrm{C}? (b) This large change in entropy implies a large amount of energy has become unavailable to do work. Where do we find more energy when such energy is lost to us?

View solution

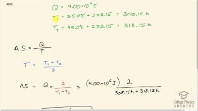
Problem 48

On a hot summer day, 4.00×106 J4.00\times 10^{6}\textrm{ J} of heat transfer into a parked car takes place, increasing its temperature from 35.0C35.0^\circ\textrm{C} to 45.0C45.0^\circ\textrm{C} . What is the increase in entropy of the car due to this heat transfer alone?

View solution

Problem 49

A hot rock ejected from a volcano's lava fountain cools from 1100C1100^\circ\textrm{C} to 40.0C40.0^\circ\textrm{C}, and its entropy decreases by 950 J/K. How much heat transfer occurs from the rock?

View solution

Problem 50

When 1.60×105 J1.60\times 10^{5}\textrm{ J} of heat transfer occurs into a meat pie initially at 20.0C20.0^\circ\textrm{C}, its entropy increases by 480 J/K. What is its final temperature?

View solution

Problem 51

The Sun radiates energy at the rate of 3.80×1026 W3.80 \times 10^26 \textrm{ W} from its 5500 C5500^\circ\textrm{ C} surface into dark empty space (a negligible fraction radiates onto Earth and the other planets). The effective temperature of deep space is 270C-270^\circ\textrm{C}. (a) What is the increase in entropy in one day due to this heat transfer? (b) How much work is made unavailable?

View solution

Problem 52

(a) In reaching equilibrium, how much heat transfer occurs from 1.00 kg of water at 40.0C40.0^\circ\textrm{C} when it is placed in contact with 1.00 kg of 20.0C20.0^\circ\textrm{C} water in reaching equilibrium? (b) What is the change in entropy due to this heat transfer? (c) How much work is made unavailable, taking the lowest temperature to be 20.0C20.0^\circ\textrm{C} ? Explicitly show how you follow the steps in the Problem-Solving Strategies for Entropy.

View solution

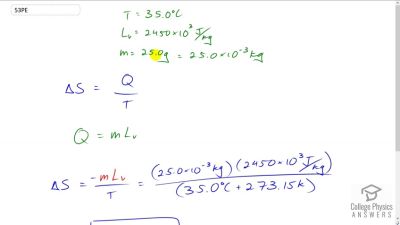
Problem 53

What is the decrease in entropy of 25.0 g of water that condenses on a bathroom mirror at a temperature of 35.0C35.0^\circ\textrm{C}, assuming no change in temperature and given the latent heat of vaporization to be 2450 kJ/kg?

View solution

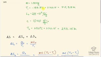
Problem 54

Find the increase in entropy of 1.00 kg of liquid nitrogen that starts at its boiling temperature, boils, and warms to 20.0C20.0^\circ\textrm{C} at constant pressure.

View solution

Problem 55

A large electrical power station generates 1000 MW of electricity with an efficiency of 35.0%. (a) Calculate the heat transfer to the power station, QhQ_h , in one day. (b) How much heat transfer QcQ_c occurs to the environment in one day? (c) If the heat transfer in the cooling towers is from 35.0C35.0^\circ\textrm{C} water into the local air mass, which increases in temperature from 18.0C18.0^\circ\textrm{C} to 20.0C20.0^\circ\textrm{C}, what is the total increase in entropy due to this heat transfer? (d) How much energy becomes unavailable to do work because of this increase in entropy, assuming an 18.0C18.0^\circ\textrm{C} lowest temperature? (Part of QcQ_c could be utilized to operate heat engines or for simply heating the surroundings, but it rarely is.)

View solution

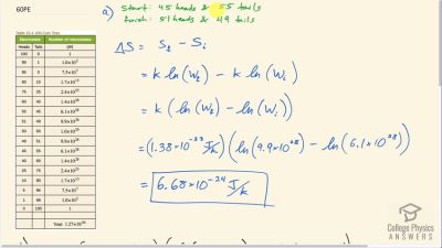
Problem 56

(a) How much heat transfer occurs from 20.0 kg of 90.0C90.0^\circ\textrm{C} water placed in contact with 20.0 kg of 10.0C10.0^\circ\textrm{C} water, producing a final temperature of 50.0C50.0^\circ\textrm{C}? (b) How much work could a Carnot engine do with this heat transfer, assuming it operates between two reservoirs at constant temperatures of 90.0C90.0^\circ\textrm{C} and 10.0C10.0^\circ\textrm{C}? (c) What increase in entropy is produced by mixing 20.0 kg of 90.0C90.0^\circ\textrm{C} water with 20.0 kg of 10.0C10.0^\circ\textrm{C} water? (d) Calculate the amount of work made unavailable by this mixing using a low temperature of 10.0C10.0^\circ\textrm{C}, and compare it with the work done by the Carnot engine. Explicitly show how you follow the steps in the Problem-Solving Strategies for Entropy. (e) Discuss how everyday processes make increasingly more energy unavailable to do work, as implied by this problem.

View solution

Section 15.7: Statistical Interpretation of Entropy and the Second Law of Thermodynamics: The Underlying Explanation

Problem 57

Using Table 15.4, verify the contention that if you toss 100 coins each second, you can expect to get 100 heads or 100 tails once in 2×1022 years2 \times 10^{22} \textrm{ years}; calculate the time to two- digit accuracy.

View solution

Problem 58

What percent of the time will you get something in the range from 60 heads and 40 tails through 40 heads and 60 tails when tossing 100 coins? The total number of microstates in that range is 1.22×10301.22\times 10^{30} . (Consult Table 15.4.)

View solution

Problem 59

(a) If tossing 100 coins, how many ways (microstates) are there to get the three most likely macrostates of 49 heads and 51 tails, 50 heads and 50 tails, and 51 heads and 49 tails? (b) What percent of the total possibilities is this? (Consult Table 15.4.)

View solution

Problem 60

(a) What is the change in entropy if you start with 100 coins in the 45 heads and 55 tails macrostate, toss them, and get 51 heads and 49 tails? (b) What if you get 75 heads and 25 tails? (c) How much more likely is 51 heads and 49 tails than 75 heads and 25 tails? (d) Does either outcome violate the second law of thermodynamics?

View solution

Problem 61

(a) What is the change in entropy if you start with 10 coins in the 5 heads and 5 tails macrostate, toss them, and get 2 heads and 8 tails? (b) How much more likely is 5 heads and 5 tails than 2 heads and 8 tails? (Take the ratio of the number of microstates to find out.) (c) If you were betting on 2 heads and 8 tails would you accept odds of 252 to 45? Explain why or why not.

View solution

Problem 62

(a) If you toss 10 coins, what percent of the time will you get the three most likely macrostates (6 heads and 4 tails, 5 heads and 5 tails, 4 heads and 6 tails)? (b) You can realistically toss 10 coins and count the number of heads and tails about twice a minute. At that rate, how long will it take on average to get either 10 heads and 0 tails or 0 heads and 10 tails?

View solution

Problem 64

In an air conditioner, 12.65 MJ of heat transfer occurs from a cold environment in 1.00 h. (a) What mass of ice melting would involve the same heat transfer? (b) How many hours of operation would be equivalent to melting 900 kg of ice? (c) If ice costs 20 cents per kg, do you think the air conditioner could be operated more cheaply than by simply using ice? Describe in detail how you evaluate the relative costs.

View solution