Question
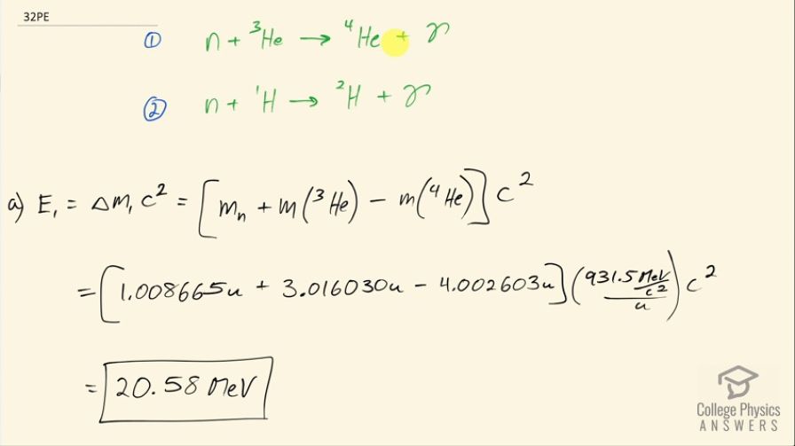
Two fusion reactions mentioned in the text are
and
Both reactions release energy, but the second also creates more fuel. Confirm that the energies produced in the reactions are 20.58 and 2.22 MeV, respectively. Comment on which product nuclide is most tightly bound, or
Final Answer
- and
- is more tightly bound than since it has an even number of neutrons. The greater energy released to form also indicates greater binding energy per nucleon and thus greater stability.
Solution video
OpenStax College Physics for AP® Courses, Chapter 32, Problem 32 (Problems & Exercises)

vote with a rating of
votes with an average rating of
.
Calculator Screenshots
Video Transcript
This is College Physics Answers with Shaun Dychko. Here are two fusion reactions: we have a neutron fusing with a helium-3 nuclide making helium-4 and a gamma photon and the second option is a neutron combining with a single proton to make a deuterium nuclide and a gamma particle. So we are going to find the energy released in each of these reactions: in reaction number 1, we want to find the difference in mass between the products and the reactants and multiply that by c squared. So we have the mass of a neutron plus the mass of a helium-3 atom minus the mass of a helium-4 atom and they each have 2 protons and 2 electrons included in these atomic masses and so those electron masses just subtract away, which is good. And we multiply this mass difference by c squared so that's 1.008665 atomic mass units for a neutron plus 3.016030 atomic mass units for helium-3 minus the atomic mass of helium-4 and then multiply by 931.5 megaelectron volts per c squared for every atomic mass unit then multiply by c squared and we get 20.58 megaelectron volts of energy released. In reaction number 2, we have the mass of a neutron plus the mass of a hydrogen atom minus the mass of a hydrogen atom that is made with a proton and a neutron and we multiply all that by c squared. So mass of a neutron plus mass of hydrogen atom minus mass of a deuteron atom multiplied by this conversion factor and we get 2.22 megaelectron volts and all these masses come from the appendix at the end of the textbook. Part (b) is asking which product is more tightly bound— helium-4 or deuterium? The answer is helium-4; one reason we know that is because it has an even number of neutrons and for some reason that causes a more tightly bound nuclide. Also we can see from the much greater energy released to form the helium-4 that suggests that helium-4 is more stable that there must be a greater binding energy per nucleon, which is an indication of stability in helium-4 because so much energy has been released into the environment here, there is less mass-energy tied up in the helium-4 nuclide and all this energy would have to be put back into the nuclide in order to separate its component neutrons and protons and so it has greater binding energy per nucleon and that's an indication of stability. Okay!