Question
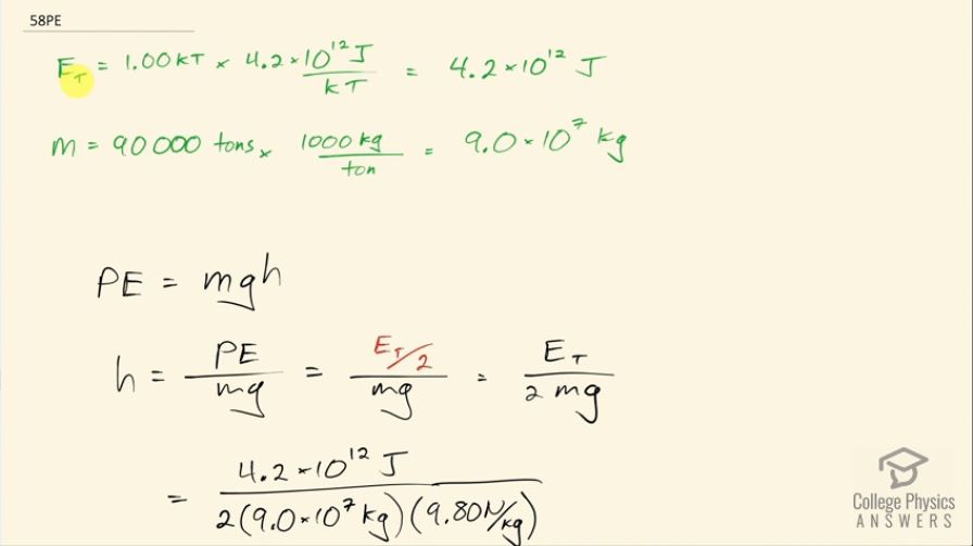
This problem gives some idea of the magnitude of the energy yield of a small tactical bomb. Assume that half the energy of a 1.00-kT nuclear depth charge set off under an aircraft carrier goes into lifting it out of the water—that is, into gravitational potential energy. How high is the carrier lifted if its mass is 90,000 tons?
Final Answer
Solution video
OpenStax College Physics for AP® Courses, Chapter 32, Problem 58 (Problems & Exercises)

vote with a rating of
votes with an average rating of
.
Calculator Screenshots
Video Transcript
This is College Physics Answers with Shaun Dychko. To get a sense of how powerful nuclear bombs can be, we assume that a small tactical nuclear bomb has a total energy output of 1.00 kiloton is exploded directly underneath an aircraft carrier and we want to see how high the aircraft carrier will go assuming half of the energy of the explosion goes into gravitational potential energy of the aircraft carrier? So we multiply 1.00 kiloton by 4.2 times 10 to the 12 joules per kiloton so that's 4.2 times 10 to the 12 joules of energy released and the mass of the aircraft carrier is 90000 tons which we assume are metric tons and so we multiply it by 1000 kilograms per ton and that is 9.0 times 10 to the 7 kilograms. So gravitational potential energy is mass times gravitational field strength times the height and we can solve for h by dividing both sides by mg and so the height of the aircraft carrier will then will be its potential energy divided by its mass times gravitational field strength. The potential energy that it gets we assume is half of the total energy released by the explosion and so that's energy released divided by 2mg. 4.2 times 10 to the 12 joules of energy released is divided by 2 times 9.0 times 10 to the 7 kilograms times 9.80 newtons per kilogram and that is 2.38 kilometers.