Question
Another set of reactions that result in the fusing of hydrogen into helium in the Sun and especially in hotter stars is called the carbon cycle. It is
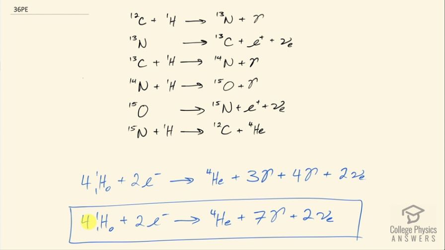
Write down the overall effect of hte carbon cycle (as was done for the proton-proton cycle in ). Note the number of protons () required and assume that the positrons () annihilate electrons to form more rays.
Final Answer
Please see the solution video.
Solution video
OpenStax College Physics for AP® Courses, Chapter 32, Problem 36 (Problems & Exercises)

vote with a rating of
votes with an average rating of
.
Video Transcript
This is College Physics Answers with Shaun Dychko. Our job in this question is to turn this overall carbon-fusion cycle into one equation showing the net effect showing all the things consumed on the left and all the things produced on the right side in the end. So we have a carbon-12 that seems to be consumed in the first step but since there's carbon-12 produced in the very end that's not a net consumption or production because for every carbon-12 used, there's a carbon-12 made and so there's no net change in carbon-12 so we can ignore that; there is this proton that's consumed so that's 1. Then there is nitrogen-13 that's created but then the nitrogen-13 gets used so those cancel each other out and then there's a carbon-13 produced but then that gets used so those cancel out although we are going to consume a proton in this step and then that will produce nitrogen-14 but then that quickly gets used up in the next step so that cancels itself out but this step uses a hydrogen nuclide and then there's oxygen-15 produced but then that gets used up in the next step so it cancels out and then nitrogen-15 is produced but then cancels out and we use up a hydrogen in the last step as well so that's a total of 1, 2, 3, 4 hydrogens that are used so that's where this term comes from. Now looking at the other particles, we have a positron created here and a positron created here and these are not going to last for very long because they will quickly annihilate with an electron that it will find somewhere in our world that is principally composed of matter and this anti-matter will annihilate with that matter almost instantly and so there will not be positrons on the right hand side of our equation because they are going to annihilate really quickly and in doing so, they will consume an electron for each of them. So these two positrons are going to combine with two electrons and in doing so, they will produce a total of 4 gamma particles. So this is something else we have to add to our consumption side of our equation here so that's where the two electrons come from and then we are going to be producing 4 gamma particles as a result of this annihilation so that's where this term comes from. Then we also have... so let's cancel this out because we have accounted for them now and we also have 1, 2, 3 gamma particles that are produced and so that's where this term comes from. There are two electron-neutrinos created and then there is a helium-4 nuclide produced as well and so combining the 3 gamma particles and 4 gamma particles gives this end result here: we have 4 protons plus 2 electrons makes a helium nuclide plus 7 gamma particles plus 2 electron-neutrinos.