Question
Calculate the energy output in each of the fusion reactions in the proton-proton cycle, and verify the values given in the above summary.
Final Answer
Solution video
OpenStax College Physics for AP® Courses, Chapter 32, Problem 27 (Problems & Exercises)

vote with a rating of
votes with an average rating of
.
Calculator Screenshots
Video Transcript
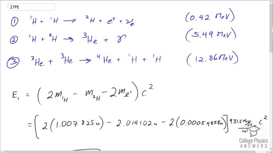
This is College Physics Answers with Shaun Dychko. We are going to verify each of the energies in the three steps in the proton-proton fusion cycle. So this has a name proton-proton because these are two protons at the beginning and it produces two protons at the end along with this helium. And so this first reaction involves two protons fusing together into a single deuterium nuclide and also producing a positron and an electron neutrino. So the energy produced in this reaction apparently is 0.42 megaelectron volts and we are going to verify that that's true. So E for step one of the three steps here; the energy released is gonna be the difference in the total mass that we begin with minus the total mass that we end with which is contained in these two particles here this neutrino we assume is basically massless. And then neutrino's actually do have a tiny, tiny bit of mass but it's negligible in comparison to the electron. So we have two protons at the beginning so 2 times the mass of a one proton minus the mass of a single deuterium atom and minus 2 times the mass of an electron and the factor 2 here might be a bit of a surprise. Now there's only one electron being produced so we are using the word electron and positron interchangeably here; they both have the same mass so this is an electron mass we are concerned with because there's one positron created. But we need to have a factor 2 here because the masses that we'll be using here are atomic masses so when we look in appendix A of our textbook, we are given the mass of an atom which includes the nucleus and the electrons surrounding it and each hydrogen atom will have one electron. So when we go 2 times the atomic mass of hydrogen, we are including two electron masses in that. Now the atomic mass for the deuterium on the other hand will consist of only one electron because deuterium has one proton in the nucleus and one neutron and one electron surrounding that. And so we have the mass of two electrons here that we don't want because it's just the mass difference in the nuclei that is resulting in the energy released due to fusion; that has nothing to do with the electrons the electrons are just sort of a pest that we have to get rid of in our subtraction. And so we have two electrons here and we are subtracting only one of those electron masses included in the deuterium mass and so we have to subtract an additonal electron mass to account for the different number of electrons among the two hydrogen atoms versus the single deuterium atom. OK So we have 2 times the atomic mass of hydrogen minus the atomic mass of deuterium minus 2 times the mass of an electron. Convert that into megaelectron volts and we end up with 0.420 megaelectron volts. and this is megaelectron volts per c squared for every atomic mass unit multiplied by c squared because this energy released is the difference in mass times c squared. Okay and that checks out; that works out to the 0.420 megaelectron volts that we expected. So now it's step two that we want to verify. We wanna show that deuterium atom or nucleus I should say combined with a hydrogen nucleus produces 5.49 megaelectron volts when it creates helium-3 and a gamma ray. So in part two here, we have the mass of the proton plus the mass of the deuterium minus the mass of helium-3 and we are using atomic masses here but there's no problem to deal with electrons in this case because there are one, two electrons among these two atoms here, one on each and then there are two electrons surrounding a helium atom and so these electrons subtract away properly and completely because there are two included here and then we are taking away two in the atomic mass for helium. So here's the atomic mass of hydrogen, atomic mass of deuterium minus the atomic mass of helium-3 converted into megaelectron volts giving us 5.49 megaelectron volts and so that checks out as well. And then the last step in the proton-proton fusion is two helium-3's bonding together to make a helium-4 and two protons; that should release 12.86 megaelectron volts. So we have 2 times the mass of helium-3 minus a single helium-4 and 2 hydrogen-1's. So we have 2 times this atomic mass of helium-3 minus the atomic mass of helium-4 minus 2 times the atomic mass of hydrogen and this works out to 12.86 megaelectron volts.