Question
(a) Calculate the energy released in the neutron-induced fission reaction
given and .
(b) Confirm that the total number of nucleons and total charge are conserved in this reaction.
Final Answer
- Please see the solution video.
Solution video
OpenStax College Physics for AP® Courses, Chapter 32, Problem 44 (Problems & Exercises)

vote with a rating of
votes with an average rating of
.
Calculator Screenshots
Video Transcript
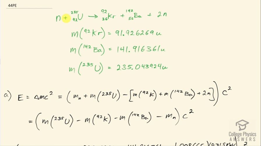
This is College Physics Answers with Shaun Dychko. We are going to calculate the energy released in neutron-induced fission of uranium-235. So neutron-induced fission of uranium-235 could make krypton-92 and barium-142 plus 2 more neutrons and we are given the atomic masses of each of these elements here. So the energy released then is the difference in mass between the reactants and the products times c squared. So it's a mass of a neutron on the left plus the mass of uranium-235 minus the mass of all the things on the right— krypton-92 plus barium-142 and two neutrons. Now when we take away these brackets here, we will have minus 2 neutrons plus a neutron for a total of minus one neutron so we have uranium-235 minus krypton-92 minus barium-142 minus one neutron mass, all that gets multiplied by c squared. So here's the atomic mass of uranium-235 minus the atomic mass of krypton minus the atomic mass of barium minus the mass of a free neutron converted into megaelectron volts per c squared for every atomic mass unit by multiplying by 931.5 then times c squared and we end up with 179.4 megaelectron volts of energy released. Part (b) says we should confirm that the total number of nucleons and the total charge and also I'm going to do the electron family number is conserved in this reaction so that means the total on the left has to equal the total on the right. So for nucleons, we have one nucleon in this neutron and 235 in this uranium nuclide for a total of 236 on the left and on the right side, we have 92 in the krypton, 142 in the barium plus 2 in the two neutrons and that's 236 on the right side as well so that is conserved. For the charge, we have positive 92 among the 92 protons in the uranium-235 and on the right hand side, we have the same charge distributed among the krypton with 36 protons and the barium with 56 for a total of 92 also and there's zero charge in the neutrons. The electron family number is 0 on both sides so that checks out and there we go!