Question
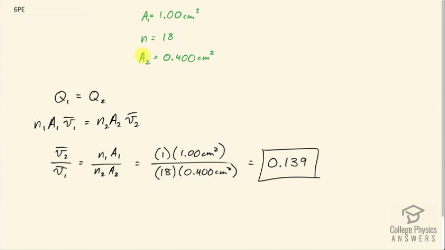
A major artery with a cross-sectional area of 1.00 cm21.00 \textrm{ cm}^2 branches into 18 smaller arteries, each with an average cross-sectional area of 0.400 cm20.400\textrm{ cm}^2. By what factor is the average velocity of the blood reduced when it passes into these branches?
Question by OpenStax is licensed under CC BY 4.0
Final Answer
0.139

Solution video

OpenStax College Physics for AP® Courses, Chapter 12, Problem 6 (Problems & Exercises)

OpenStax College Physics, Chapter 12, Problem 6 (PE) video thumbnail

In order to watch this solution you need to have a subscription.

Start free trial Log in
vote with a rating of votes with an average rating of .

Calculator Screenshots

  • OpenStax College Physics, Chapter 12, Problem 6 (PE) calculator screenshot 1
Video Transcript
This is College Physics Answers with Shaun Dychko. An artery with the cross sectional area of one square centimeter branches off into 18 smaller arteries, each with an area of 0.4 centimeter squared. So the equation of continuity says that the volume flow rate in one part of the system has to equal the volume flow rate in the other part of the system. If that were not true, it would mean that the fluid is being compressed. Which is possible for gases. But it's not really possible for liquid. So another way of expressing this is to say that the cross-sectional area times the speed of the fluid is the flow rate. And we have this N one here representing the number of branches in this first part of the system. And the second part of the system we have n two times area two times the velocity. And that's part of the system. So this question is asking us. By what factor does the… is the average velocity of the blood reduced? So that means we want to go V two divided by V one. And we can do that by dividing both sides by V one nd then also dividing both sides by n two A two. And we have that the ratio of the velocities is n one A one over n two A two. Now n one is just the number one, because it's one single artery to begin with and multiply by that cross-sectional area of one square centimeter. Then we divide by 18 branches. Each of area 0.4 centimeter squared. And this works out to 0.139. So the velocity in the… of the blood in the second part of the system and all the small branches is reduced by a factor of 0.139 compared to the single initial artery.