Question
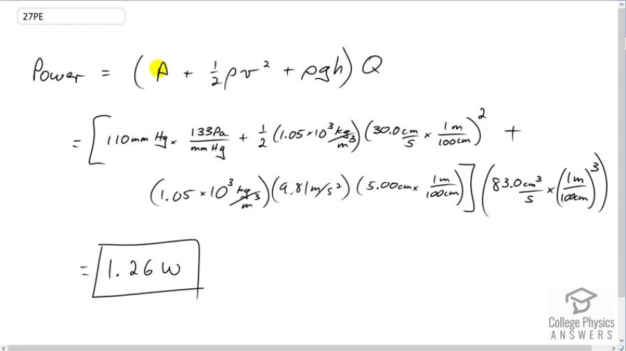
The left ventricle of a resting adult's heart pumps blood at a flow rate of 83.0 cm3/s83.0 \textrm{ cm}^3\textrm{/s}, increasing its pressure by 110mm Hg, its speed from zero to 30.0 cm/s, and its height by 5.00 cm. (All numbers are averaged over the entire heartbeat.) Calculate the total power output of the left ventricle. Note that most of the power is used to increase blood pressure.
Question by OpenStax is licensed under CC BY 4.0
Final Answer

1.26 W1.26 \textrm{ W}

Solution video

OpenStax College Physics for AP® Courses, Chapter 12, Problem 27 (Problems & Exercises)

OpenStax College Physics, Chapter 12, Problem 27 (PE) video thumbnail

In order to watch this solution you need to have a subscription.

Start free trial Log in
vote with a rating of votes with an average rating of .

Calculator Screenshots

  • OpenStax College Physics, Chapter 12, Problem 27 (PE) calculator screenshot 1
Video Transcript
This is College Physics Answers with Shaun Dychko. We'll find the power of the left ventricle of the heart by multiplying Bernoulli's Equation by the volume flow rate of blood. And so the pressure that the left ventricle gives to the blood is 110 millimeters of Mercury which we converted to pascals by multiplying 133 pascals for every millimeter of Mercury. Then, add to that this term that results from the speed that the left ventricle gives to the blood. So it's changing speed, it goes from zero to 30 centimeters per second which we convert into meters per second by multiplying by one meter for every hundred centimeters, then times by the density of blood which is 1.05 times ten to the three kilograms per cubic meter times a half and we square the speed. And then we add to it this additional term resulting from the height change of the blood on average, five centimeters converted into meters multiplied by g and then multiplied by density of blood. Then all this gets multiplied by 83 cubic centimeters per second volume flow rate which we also convert by multiplying by one meter for every hundred centimeters and we do that three times. And this gives 1.26 is the power output of the left ventricle of the heart, 1.26 watts.