Chapter 12

Chapter thumbnail
Many fluids are flowing in this scene. Water from the hose and smoke from the fire are visible flows. Less visible are the flow of air and the flow of fluids on the ground and within the people fighting the fire. Explore all types of flow, such as visible, implied, turbulent, laminar, and so on, present in this scene.

Chapter 12 : Fluid Dynamics and its Biological and Medical Applications. - all with Video Solutions

Problems & Exercises

Section 12.1: Flow Rate and its Relation to Velocity

Problem 1

What is the average flow rate in cm3/s\textrm{cm}^3\textrm{/s} of gasoline to the engine of a car traveling at 100 km/h if it averages 10.0 km/L?

View solution

Problem 2

The heart of a resting adult pumps blood at a rate of 5.00 L/min. (a) Convert this to cm2/s\textrm{cm}^2/\textrm{s}. (b) What is this rate in m2/s\textrm{m}^2/\textrm{s}?

View solution

Problem 3

Blood is pumped from the heart at a rate of 5.0 L/min into the aorta (of radius 1.0 cm). Determine the speed of blood through the aorta.

View solution

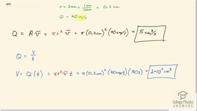
Problem 4

Blood is flowing through an artery of radius 2 mm at a rate of 40 cm/s. Determine the flow rate and the volume that passes through the artery in a period of 30 s.

View solution

Problem 5

The Huka Falls on the Waikato River is one of New Zealand's most visited natural tourist attractions (see Figure 12.30). On average the river has a flow rate of about 300,000 L/s. At the gorge, the river narrows to 20 m wide and averages 20 m deep. (a) What is the average speed of the river in the gorge? (b) What is the average speed of the water in the river downstream of the falls when it widens to 60 m and its depth increases to an average of 40 m?

View solution

Problem 6

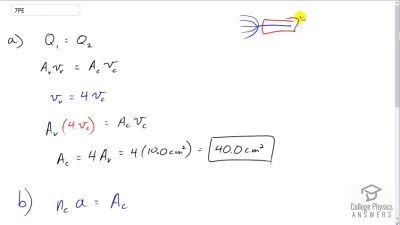
A major artery with a cross-sectional area of 1.00 cm21.00 \textrm{ cm}^2 branches into 18 smaller arteries, each with an average cross-sectional area of 0.400 cm20.400\textrm{ cm}^2. By what factor is the average velocity of the blood reduced when it passes into these branches?

View solution

Problem 7

(a) As blood passes through the capillary bed in an organ, the capillaries join to form venules (small veins). If the blood speed increases by a factor of 4.00 and the total cross-sectional area of the venules is 10.0 cm210.0 \textrm{ cm}^2, what is the total cross-sectional area of the capillaries feeding these venules? (b) How many capillaries are involved if their average diameter is 10.0 μm10.0 \textrm{ }\mu\textrm{m}?

View solution

Problem 8

The human circulation system has approximately 1×1091\times 10^{9} capillary vessels. Each vessel has a diameter of about 8 μm8 \textrm{ }\mu\textrm{m} . Assuming cardiac output is 5 L/min, determine the average velocity of blood flow through each capillary vessel.

View solution

Problem 9

(a) Estimate the time it would take to fill a private swimming pool with a capacity of 80,000 L using a garden hose delivering 60 L/min. (b) How long would it take to fill if you could divert a moderate size river, flowing at 5000 m3/s5000 \textrm{ m}^3\textrm{/s}, into it?

View solution

Problem 10

The flow rate of blood through a 2.00×106 m2.00\times 10^{-6}\textrm{ m} radius capillary is 3.80×109 cm3/s3.80\times 10^{-9}\textrm{ cm}^3/\textrm{s} . (a) What is the speed of the blood flow? (This small speed allows time for diffusion of materials to and from the blood.) (b) Assuming all the blood in the body passes through capillaries, how many of them must there be to carry a total flow of 90.0 cm3/s90.0\textrm{ cm}^3/\textrm{s}? (The large number obtained is an overestimate, but it is still reasonable.)

View solution

Problem 11

(a) What is the fluid speed in a fire hose with a 9.00-cm diameter carrying 80.0 L of water per second? (b) What is the flow rate in cubic meters per second? (c) Would your answers be different if salt water replaced the fresh water in the fire hose?

View solution

Problem 12

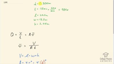
The main uptake air duct of a forced air gas heater is 0.300 m in diameter. What is the average speed of air in the duct if it carries a volume equal to that of the house’s interior every 15 min? The inside volume of the house is equivalent to a rectangular solid 13.0 m wide by 20.0 m long by 2.75 m high.

View solution

Problem 13

Water is moving at a velocity of 2.00 m/s through a hose with an internal diameter of 1.60 cm. (a) What is the flow rate in liters per second? (b) The fluid velocity in this hose's nozzle is 15.0 m/s. What is the nozzle's inside diameter?

View solution

Problem 14

Prove that the speed of an incompressible fluid through a constriction, such as in a Venturi tube, increases by a factor equal to the square of the factor by which the diameter decreases. (The converse applies for flow out of a constriction into a larger-diameter region.)

View solution

Problem 15

Water emerges straight down from a faucet with a 1.80-cm diameter at a speed of 0.500 m/s. (Because of the construction of the faucet, there is no variation in speed across the stream.) (a) What is the flow rate in cm3/s\textrm{cm}^3\textrm{/s}? (b) What is the diameter of the stream 0.200 m below the faucet? Neglect any effects due to surface tension.

View solution

Problem 16

A mountain stream is 10.0 m wide and averages 2.00 m in depth. During the spring runoff, the flow in the stream reaches 100,000 m3/s100,000\textrm{ m}^3/\textrm{s} . (a) What is the average velocity of the stream under these conditions? (b) What is unreasonable about this velocity? (c) What is unreasonable or inconsistent about the premises?

View solution

Section 12.2: Bernoulli's Equation

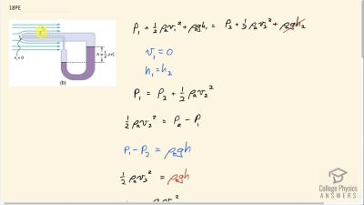
Problem 18

Suppose you have a wind speed gauge like the pitot tube shown in Example 12.2(b). By what factor must wind speed increase to double the value of h in the manometer? Is this independent of the moving fluid and the fluid in the manometer?

View solution

Problem 19

If the pressure reading of your pitot tube is 15.0 mm Hg at a speed of 200 km/h, what will it be at 700 km/h at the same altitude?

View solution

Problem 20

Calculate the maximum height to which water could be squirted with the hose in Example 12.2 example if it: (a) Emerges from the nozzle. (b) Emerges with the nozzle removed, assuming the same flow rate.

View solution

Problem 21

Every few years, winds in Boulder, Colorado, attain sustained speeds of 45.0 m/s (about 100 mi/h) when the jet stream descends during early spring. Approximately what is the force due to the Bernoulli effect on a roof having an area of 220 m2220 \textrm{ m}^2? Typical air density in Boulder is 1.14 kg/m31.14 \textrm{ kg/m}^3, and the corresponding atmospheric pressure is 8.89×104 N/m28.89 \times 10^4 \textrm{ N/m}^2. (Bernoulli's principle as stated in the text assumes laminar flow. Using the principle here produces only an approximate result, because there is significant turbulence.)

View solution

Problem 22

(a) Calculate the approximate force on a square meter of sail, given the horizontal velocity of the wind is 6.00 m/s parallel to its front surface and 3.50 m/s along its back surface. Take the density of air to be 1.29 kg/m31.29 \textrm{ kg/m}^3. (The calculation, based on Bernoulli’s principle, is approximate due to the effects of turbulence.) (b) Discuss whether this force is great enough to be effective for propelling a sailboat.

View solution

Problem 23

(a) What is the pressure drop due to the Bernoulli effect as water goes into a 3.00-cm-diameter nozzle from a 9.00-cm-diameter fire hose while carrying a flow of 40.0 L/s? (b) To what maximum height above the nozzle can this water rise? (The actual height will be significantly smaller due to air resistance.)

View solution

Problem 24

(a) Using Bernoulli’s equation, show that the measured fluid speed v for a pitot tube, like the one in Figure 12.7(b), is given by v=(2ρghρ)12v = \left ( \dfrac{2\rho^\prime gh}{\rho}\right )^\frac{1}{2}, where hh is the height of the manometer fluid, ρ\rho^\prime is the density of the manometer fluid, ρ\rho is the density of the moving fluid, and gg is the acceleration due to gravity. (Note that vv is indeed proportional to the square root of hh , as stated in the text.) (b) Calculate vv for moving air if a mercury manometer’s hh is 0.200 m.

View solution

Section 12.3: The Most General Applications of Bernoulli's Equation

Problem 25

Hoover Dam on the Colorado River is the highest dam in the United States at 221 m, with an output of 1300 MW. The dam generates electricity with water taken from a depth of 150 m and an average flow rate of 650 m3/s650 \textrm{ m}^3\textrm{/s}. (a) Calculate the power in this flow. (b) What is the ratio of this power to the facility's average of 680 MW?

View solution

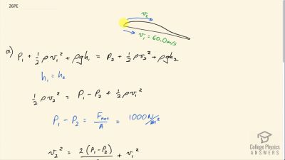
Problem 26

A frequently quoted rule of thumb in aircraft design is that wings should produce about 1000 N of lift per square meter of wing. (The fact that a wing has a top and bottom surface does not double its area.) (a) At takeoff, an aircraft travels at 60.0 m/s, so that the air speed relative to the bottom of the wing is 60.0 m/s. Given the sea level density of air to be 1.29 kg/m31.29\textrm{ kg/m}^3, how fast must it move over the upper surface to create the ideal lift? (b) How fast must air move over the upper surface at a cruising speed of 245 m/s and at an altitude where air density is one-fourth that at sea level? (Note that this is not all of the aircraft’s lift—some comes from the body of the plane, some from engine thrust, and so on. Furthermore, Bernoulli’s principle gives an approximate answer because flow over the wing creates turbulence.)

View solution

Problem 27

The left ventricle of a resting adult's heart pumps blood at a flow rate of 83.0 cm3/s83.0 \textrm{ cm}^3\textrm{/s}, increasing its pressure by 110mm Hg, its speed from zero to 30.0 cm/s, and its height by 5.00 cm. (All numbers are averaged over the entire heartbeat.) Calculate the total power output of the left ventricle. Note that most of the power is used to increase blood pressure.

View solution

Problem 28

A sump pump (used to drain water from the basement of houses built below the water table) is draining a flooded basement at the rate of 0.750 L/s, with an output pressure of 3.00×105 N/m23.00\times 10^{5}\textrm{ N/m}^2. (a) The water enters a hose with a 3.00-cm inside diameter and rises 2.50 m above the pump. What is its pressure at this point? (b) The hose goes over the foundation wall, losing 0.500 m in height, and widens to 4.00 cm in diameter. What is the pressure now? You may neglect frictional losses in both parts of the problem.

View solution

Section 12.4: Viscosity and Laminar Flow; Poiseuille's Law

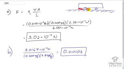
Problem 29

(a) Calculate the retarding force due to the viscosity of the air layer between a cart and a level air track given the following information—air temperature is 20C20^\circ\textrm{C}, the cart is moving at 0.400 m/s, its surface area is 2.50×102 m22.50 \times 10^{-2} \textrm{ m}^2, and the thickness of the air layer is 6.00×105 m6.00 \times 10^{-5} \textrm{ m}. (b) What is the ratio of this force to the weight of the 0.300-kg cart?

View solution

Problem 30

What force is needed to pull one microscope slide over another at a speed of 1.00 cm/s, if there is a 0.500-mm-thick layer of 20C20^\circ\textrm{C} water between them and the contact area is 8.00 cm28.00\textrm{ cm}^2?

View solution

Problem 31

A glucose solution being administered with an IV has a flow rate of 3.00 cm3/min3.00 \textrm{ cm}^3 \textrm{/min}. What will the new flow rate be if the glucose is replaced by whole blood having the same density but a viscosity 2.50 times that of the glucose? All other factors remain constant.

View solution

Problem 32

The pressure drop along a length of artery is 100 Pa, the radius is 10 mm, and the flow is laminar. The average speed of the blood is 15 mm/s. (a) What is the net force on the blood in this section of artery? (b) What is the power expended maintaining the flow?

View solution

Problem 33

A small artery has a length of 1.1×103 m1.1 \times 10^{-3} \textrm{ m} and a radius of 2.5×105 m2.5 \times 10^{-5} \textrm{ m}. If the pressure drop across the artery is 1.3 kPa, what is the flow rate through the artery? (Assume that the temperature is 37C37^\circ\textrm{C}.)

View solution

Problem 34

Fluid originally flows through a tube at a rate of 100 cm2/s100 \textrm{ cm}^2\textrm{/s}. To illustrate the sensitivity of flow rate to various factors, calculate the new flow rate for the following changes with all other factors remaining the same as in the original conditions. (a) Pressure difference increases by a factor of 1.50. (b) A new fluid with 3.00 times greater viscosity is substituted. (c) The tube is replaced by one having 4.00 times the length. (d) Another tube is used with a radius 0.100 times the original. (e) Yet another tube is substituted with a radius 0.100 times the original and half the length, and the pressure difference is increased by a factor of 1.50.

View solution

Problem 35

The arterioles (small arteries) leading to an organ, constrict in order to decrease flow to the organ. To shut down an organ, blood flow is reduced naturally to 1.00% of its original value. By what factor did the radii of the arterioles constrict? Penguins do this when they stand on ice to reduce the blood flow to their feet.

View solution

Problem 36

Angioplasty is a technique in which arteries partially blocked with plaque are dilated to increase blood flow. By what factor must the radius of an artery be increased in order to increase blood flow by a factor of 10?

View solution

Problem 37

(a) Suppose a blood vessel's radius is decreased to 90.0% of its original value by plaque deposits and the body compensates by increasing the pressure difference along the vessel to keep the flow rate constant. By what factor must the pressure difference increase? (b) If turbulence is created by the obstruction, what additional effect would it have on the flow rate?

View solution

Problem 38

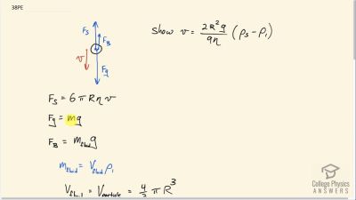
A spherical particle falling at a terminal speed in a liquid must have the gravitational force balanced by the drag force and the buoyant force. The buoyant force is equal to the weight of the displaced fluid, while the drag force is assumed to be given by Stokes Law, Fs=6πrηvF_s = 6 \pi r \eta v . Show that the terminal speed is given by v=2R2g9η(ρsρ1)v = \dfrac{2R^2g}{9 \eta} \left ( \rho_s - \rho_1 \right ), where RR is the radius of the sphere, ρs\rho_s is its density, and ρ1\rho_1 is the density of the fluid and η\eta the coefficient of viscosity.

View solution

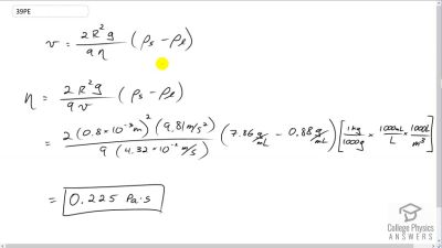
Problem 39

Using the equation of the previous problem, find the viscosity of motor oil in which a steel ball of radius 0.8 mm falls with a terminal speed of 4.32 cm/s. The densities of the ball and the oil are 7.86 and 0.88 g/mL, respectively.

View solution

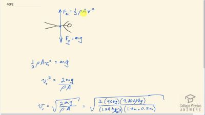
Problem 40

A skydiver will reach a terminal velocity when the air drag equals their weight. For a skydiver with high speed and a large body, turbulence is a factor. The drag force then is approximately proportional to the square of the velocity. Taking the drag force to be FD=12ρAv2F_D = \dfrac{1}{2}\rho A v^2 and setting this equal to the person’s weight, find the terminal speed for a person falling “spread eagle.” Find both a formula and a number for vTv_T , with assumptions as to size.

View solution

Problem 41

A layer of oil 1.50 mm thick is placed between two microscope slides. Researchers find that a force of 5.50×104 N5.50 \times 10^{-4} \textrm{ N} is required to glide one over the other at a speed of 1.00 cm/s when their contact area is 6.00 cm26.00 \textrm{ cm}^2. What is the oil's viscosity? What type of oil might it be?

View solution

Problem 42

(a) Verify that a 19.0% decrease in laminar flow through a tube is caused by a 5.00% decrease in radius, assuming that all other factors remain constant, as stated in the text. (b) What increase in flow is obtained from a 5.00% increase in radius, again assuming all other factors remain constant?

View solution

Problem 43

Example 12.8 dealt with the flow of saline solution in an IV system. (a) Verify that a pressure of 1.62×104 Pa1.62 \times 10^4 \textrm{ Pa} is created at a depth of 1.61 m in a saline solution, assuming its density to be that of sea water. (b) Calculate the new flow rate if the height of the saline solution is decreased to 1.50 m. (c) At what height would the direction of flow be reversed? (This reversal can be a problem when patients stand up.)

Example 12.8

An intravenous (IV) system is supplying saline solution to a patient at the rate of 0.120 cm3/s0.120 \textrm{ cm}^3\textrm{/s} through a needle of radius 0.150 mm and length 2.50 cm. What pressure is needed at the entrance of the needle to cause this flow, assuming the viscosity of the saline solution to be the same as that of water? The gauge pressure of the blood in the patient's vein is 8.00 mm Hg. (Assume that the temperature is 20C20^\circ\textrm{C}.)

View solution

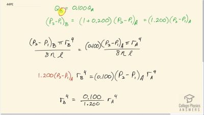
Problem 44

When physicians diagnose arterial blockages, they quote the reduction in flow rate. If the flow rate in an artery has been reduced to 10.0% of its normal value by a blood clot and the average pressure difference has increased by 20.0%, by what factor has the clot reduced the radius of the artery?

View solution

Problem 45

During a marathon race, a runner's blood flow increases to 10.0 times her resting rate. Her blood's viscosity has dropped to 95.0% of its normal value, and the blood pressure difference across the circulatory system has increased by 50.0%. By what factor has the average radii of her blood vessels increased?

View solution

Problem 46

Water supplied to a house by a water main has a pressure of 3.00×105 N/m23.00\times 10^{5}\textrm{ N/m}^2 early on a summer day when neighborhood use is low. This pressure produces a flow of 20.0 L/min through a garden hose. Later in the day, pressure at the exit of the water main and entrance to the house drops, and a flow of only 8.00 L/min is obtained through the same hose. (a) What pressure is now being supplied to the house, assuming resistance is constant? (b) By what factor did the flow rate in the water main increase in order to cause this decrease in delivered pressure? The pressure at the entrance of the water main is 5.00×105 N/m25.00\times 10^{5}\textrm{ N/m}^2 , and the original flow rate was 200 L/min. (c) How many more users are there, assuming each would consume 20.0 L/min in the morning?

View solution

Problem 47

An oil gusher shoots crude oil 25.0 m into the air through a pipe with a 0.100-m diameter. Neglecting air resistance but not the resistance of the pipe, and assuming laminar flow, calculate the gauge pressure at the entrance of the 50.0-m- long vertical pipe. Take the density of the oil to be 900 kg/m3900 \textrm{ kg/m}^3 and its viscosity to be 1.00 N/m21.00 \textrm{ N/m}^2 (or 1.00 Pa1.00 \textrm{ Pa}). Note that you must take into account the pressure due to the 50.0-m column of oil in the pipe.

View solution

Problem 48

Concrete is pumped from a cement mixer to the place it is being laid, instead of being carried in wheelbarrows. The flow rate is 200.0 L/min through a 50.0-m-long, 8.00-cm-diameter hose, and the pressure at the pump is 8.00×106 N/m28.00\times 10^{6}\textrm{ N/m}^2. (a) Calculate the resistance of the hose. (b) What is the viscosity of the concrete, assuming the flow is laminar? (c) How much power is being supplied, assuming the point of use is at the same level as the pump? You may neglect the power supplied to increase the concrete’s velocity.

View solution

Section 12.5: The Onset of Turbulence

Problem 51

Verify that the flow of oil is laminar (barely) for an oil gusher that shoots crude oil 25.0 m into the air through a pipe with a 0.100-m diameter. The vertical pipe is 50 m long. Take the density of the oil to be 900 kg/m3900 \textrm{ kg/m}^3 and its viscosity to be 1.00 N/m21.00 \textrm{ N/m}^2 (or 1.00 Pas1.00 \textrm{ Pa}\cdot\textrm{s}).

View solution

Problem 52

Show that the Reynolds number NRN_R is unitless by substituting units for all the quantities in its definition and cancelling.

View solution

Problem 53

Calculate the Reynolds numbers for the flow of water through (a) a nozzle with a radius of 0.250 cm and (b) a garden hose with a radius of 0.900 cm, when the nozzle is attached to the hose. The flow rate through hose and nozzle is 0.500 L/s. Can the flow in either possibly be laminar?

View solution

Problem 54

A fire hose has an inside diameter of 6.40 cm. Suppose such a hose carries a flow of 40.0 L/s starting at a gauge pressure of 1.62×106 N/m21.62\times 10^{6}\textrm{ N/m}^2. The hose goes 10.0 m up a ladder to a nozzle having an inside diameter of 3.00 cm. Calculate the Reynolds numbers for flow in the fire hose and nozzle to show that the flow in each must be turbulent.

View solution

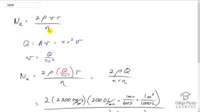
Problem 55

Concrete is pumped from a cement mixer to the place it is being laid, instead of being carried in wheelbarrows. The flow rate is 200.0 L/min through a 50.0-m-long, 8.00-cm-diameter hose, and the pressure at the pump is 8.00×106 Pa8.00 \times 10^6 \textrm{ Pa} . Verify that the flow of concrete is laminar taking concrete's viscosity to be 48.0 N/m2s48.0 \textrm{ N/m}^2\cdot\textrm{s}, and given its density is 2300 kg/m32300 \textrm{ kg/m}^3.

View solution

Problem 56

At what flow rate might turbulence begin to develop in a water main with a 0.200-m diameter? Assume a 20C20^\circ\textrm{C} temperature.

View solution

Problem 57

What is the greatest average speed of blood flow at 37C37^\circ\textrm{C} in an artery of radius 2.00 mm if the flow is to remain laminar? What is the corresponding flow rate? Take the density of blood to be 1025 kg/m31025 \textrm{ kg/m}^3.

View solution

Problem 58

In Take-Home Experiment: Inhalation, we measured the average flow rate QQ of air traveling through the trachea during each inhalation. Now calculate the average air speed in meters per second through your trachea during each inhalation. The radius of the trachea in adult humans is approximately 10210^{-2} m . From the data above, calculate the Reynolds number for the air flow in the trachea during inhalation. Do you expect the air flow to be laminar or turbulent?

View solution

Problem 59

Gasoline is piped underground from refineries to major users. The flow rate is 3.00×102 m3/s3.00 \times 10^{-2} \textrm{ m}^3\textrm{/s} (about 500 gal/min), the viscosity of gasoline is 1.00×103 Pa/cdots1.00 \times 10^{-3} \textrm{ Pa}/cdot\textrm{s}, and its density is 680 kg/m3680 \textrm{ kg/m}^3. (a) What minimum diameter must the pipe have if the Reynolds number is to be less than 2000? (b) What pressure difference must be maintained along each kilometer of the pipe to maintain this flow rate?

View solution

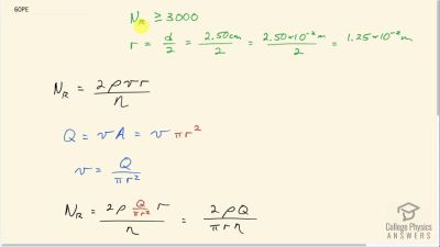
Problem 60

Assuming that blood is an ideal fluid, calculate the critical flow rate at which turbulence is a certainty in the aorta. Take the diameter of the aorta to be 2.50 cm. (Turbulence will actually occur at lower average flow rates, because blood is not an ideal fluid. Furthermore, since blood flow pulses, turbulence may occur during only the high-velocity part of each heartbeat.)

View solution

Problem 61

A fairly large garden hose has an internal radius of 0.600 cm and a length of 23.0 m. The nozzleless horizontal hose is attached to a faucet, and it delivers 50.0 L/s. (a) What water pressure is supplied by the faucet? (b) What is unreasonable about this pressure? (c) What is unreasonable about the premise? (d) What is the Reynold's number for the given flow? (Take the viscosity of water as 1.005×103 Pas1.005 \times 10^{-3} \textrm{ Pa}\cdot\textrm{s}.)

View solution

Section 12.7: Molecular Transport Phenomena: Diffusion, Osmosis, and Related Processes

Problem 62

You can smell perfume very shortly after opening the bottle. To show that it is not reaching your nose by diffusion, calculate the average distance a perfume molecule moves in one second in air, given its diffusion constant DD to be 1.00×106 m2/s1.00\times 10^{-6} \textrm{ m}^2\textrm{/s}.

View solution

Problem 63

What is the ratio of the average distances that oxygen will diffuse in a given time in air and water? Why is this distance less in water (equivalently, why is DD less in water)?

View solution

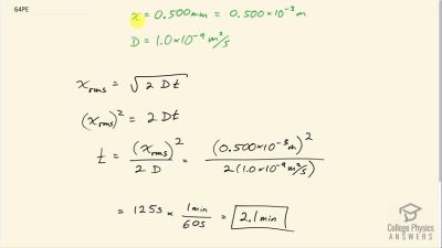
Problem 64

Oxygen reaches the veinless cornea of the eye by diffusing through its tear layer, which is 0.500-mm thick. How long does it take the average oxygen molecule to do this?

View solution

Problem 65

(a) Find the average time required for an oxygen molecule to diffuse through a 0.200-mm-thick tear layer on the cornea. (b) How much time is required to diffuse 0.500 cm30.500 \textrm{ cm}^3 of oxygen to the cornea if its surface area is 1.00 cm21.00 \textrm{ cm}^2?

View solution

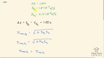
Problem 66

Suppose hydrogen and oxygen are diffusing through air. A small amount of each is released simultaneously. How much time passes before the hydrogen is 1.00 s ahead of the oxygen? Such differences in arrival times are used as an analytical tool in gas chromatography.

View solution

Test Prep for AP® Courses

Section 12.1: Flow Rate and its Relation to Velocity

Problem 1 (AP)

Water flows through a small horizontal pipe with a speed of 12 m/s into a larger part of the pipe for which the diameter of the pipe is doubled. What is the speed of the water in the larger part of the pipe?
  1. 0.75 m/s
  2. 3.0 m/s
  3. 6.0 m/s
  4. 12 m/s

View solution

Problem 2 (AP)

A popular pool toy allows the user to push a plunger to compress water in a barrel with a diameter of 3.0 cm. The water is compressed with a speed of 1.2 m/s and emerges from a small opening with a speed of 15 m/s. What is the diameter of the opening? Assume the toy is oriented horizontally.

View solution

Section 12.2: Bernoulli's Equation

Problem 4 (AP)

A pump provides pressure to the lower end of a long pipeline that supplies water from a reservoir to a house located on a hill 150 m vertically upward from the lower end of the pipe (where the water is initially at rest before being pumped). The pipeline has a constant diameter of 3.5 cm, and the upper end of the pipeline is open to the atmosphere. What pressure must the pump provide for water to flow from the upper end of the pipeline at a rate of 5.0 m/s?

View solution

Problem 5 (AP)

According to Bernoulli's equation, if the pressure in a given fluid is constant and the kinetic energy per unit volume of a fluid increases, which of the following is true?
  1. The potential energy per unit volume of the fluid decreases.
  2. The potential energy per unit volume of the fluid increases.
  3. The fluid must no longer be considered incompressible.
  4. The flow rate of the fluid increases.

View solution

Problem 6 (AP)

Consider the following circumstances within a fluid, and determine the answer using Bernoulli's equation. (a) The pressure and kinetic energy per unit volume along a fluid path increases. What must be true about the potential energy per unit volume of the fluid along the fluid path? Explain. (b) The pressure along a fluid path increases, and the kinetic energy per unit volume remains constant. What must be true about the potential energy per unit volume of the fluid along the fluid path? Explain.

View solution

Section 12.3: The Most General Applications of Bernoulli's Equation

Problem 7 (AP)

A horizontally oriented pipe has a diameter of 5.6 cm and is filled with water. The pipe draws water from a reservoir that is initially at rest. A manually operated plunger provides a force of 440 N in the pipe. Assuming that the other end of the pipe is open to the air, with what speed does the water emerge from the pipe?
  1. 12 m/s
  2. 19 m/s
  3. 150 m/s
  4. 190 m/s

View solution

Problem 8 (AP)

A 3.5-cm-diameter pipe contains a pumping mechanism that provides a force of 320 N to push water up into a tall building. Upon entering the piston mechanism, the water is flowing at a rate of 2.5 m/s. The water is then pumped to a level 21 m higher where the other end of the pipe is open to the air. With what speed does water leave the pipe?

View solution

Problem 9 (AP)

A large container of water is open to the air, and it develops a hole of area 10 cm at a point 5 m below the surface of the water. What is the flow rate ( m3/s\textrm{ m}^3\textrm{/s}) of the water emerging from this hole?
  1. 99 m3/s99 \textrm{ m}^3\textrm{/s}
  2. 9.9 m3/s9.9 \textrm{ m}^3\textrm{/s}
  3. 0.099 m3/s0.099 \textrm{ m}^3\textrm{/s}
  4. 0.0099 m3/s0.0099 \textrm{ m}^3\textrm{/s}

View solution

Problem 10 (AP)

A pipe is tapered so that the large end has a diameter twice as large as the small end. What must be the gauge pressure (the difference between pressure at the large end and pressure at the small end) in order for water to emerge from the small end with a speed of 12 m/s if the small end is elevated 8 m above the large end of the pipe?

View solution