Question
A glucose solution being administered with an IV has a flow rate of 3.00 cm3/min3.00 \textrm{ cm}^3 \textrm{/min}. What will the new flow rate be if the glucose is replaced by whole blood having the same density but a viscosity 2.50 times that of the glucose? All other factors remain constant.
Question by OpenStax is licensed under CC BY 4.0
Final Answer

1.60 cm3min1.60 \textrm{ cm}^3\textrm{min}

Solution video

OpenStax College Physics for AP® Courses, Chapter 12, Problem 31 (Problems & Exercises)

OpenStax College Physics, Chapter 12, Problem 31 (PE) video thumbnail

In order to watch this solution you need to have a subscription.

Start free trial Log in
vote with a rating of votes with an average rating of .

Calculator Screenshots

  • OpenStax College Physics, Chapter 12, Problem 31 (PE) calculator screenshot 1
Video Transcript
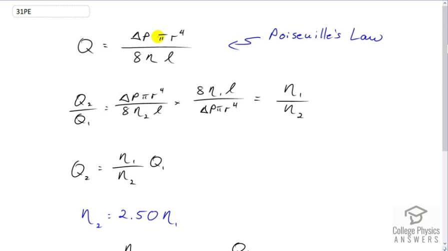
This is College Physics Answers with Shaun Dychko. Poiseuille's Law says that the volume flow rate is equal to the difference in pressure along a horizontal tube, times pi times its radius to the power of four, divided by eight times the viscosity of the fluid in it times the length of the tube. Now most of these terms don't matter because the only thing that's going to change in this question is the viscosity because we're exchanging whole blood for glucose and they have different viscosities. So, the volume flow rate in case two with the whole blood divided by the volume flow rate in case one of glucose is going to be the change in pressure times pi r to the four over eight, viscosity two, viscosity of whole blood times the length of the tube. Then divide by Q one but I'm going to multiply by the reciprocal of Q one to make things a little easier here. So we're multiplying by eight nu one l over delta p pi r to the fourth. We see that most of these things cancel with the exception of the viscosities. So this works out to the ratio of the viscosities. So multiply both sides by Q one to solve for Q two. So Q two is nu one over nu two times Q one. This letter here, looks like the letter n but it's the Greek letter nu. Okay. So we're told that the viscosity of whole blood is two and a half times that of glucose and so we'll substitute 2.50 nu one in place of nu two. The viscosity of glucose cancels. So Q two is Q one divided by two and a half. So that's four cubic centimeters per minute, divided by two and a half which is 1.60 cubic centimeters per minute will be the volume flow rate of the whole blood.