Question
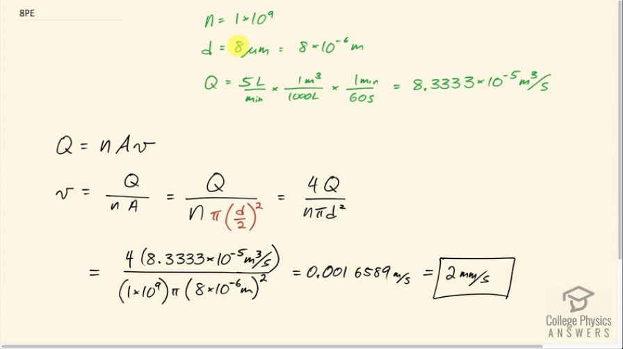
The human circulation system has approximately 1×1091\times 10^{9} capillary vessels. Each vessel has a diameter of about 8 μm8 \textrm{ }\mu\textrm{m} . Assuming cardiac output is 5 L/min, determine the average velocity of blood flow through each capillary vessel.
Question by OpenStax is licensed under CC BY 4.0
Final Answer
2 mm/s2 \textrm{ mm/s}

Solution video

OpenStax College Physics for AP® Courses, Chapter 12, Problem 8 (Problems & Exercises)

OpenStax College Physics, Chapter 12, Problem 8 (PE) video thumbnail

In order to watch this solution you need to have a subscription.

Start free trial Log in
vote with a rating of votes with an average rating of .

Calculator Screenshots

  • OpenStax College Physics, Chapter 12, Problem 8 (PE) calculator screenshot 1
Video Transcript
This is College Physics Answers with Shaun Dychko. The human circulatory system has about one billion capillary vessels. And each of them has a diameter of about eight micro meters, which is eight times 10 to the minus six meters. And the total volume flow rate of blood is five litres per minute. And we need to do some unit conversion in here because we have to have MKS units in order to work with our formulas here. We need to have meters, kilograms and second in our units. So five liters per minute can be converted into cubic meters by multiplying by one cubic meter for every 1000 liters and then multiplying by one minute for every 60 seconds we convert into cubic meters per second. So five divided by a 1000 divided by 60 is 8.3333 times 10 to the minus five cubic meters per second. So the volume flow rate is the number of vessels multiplied by the cross-sectional area of each of them times the velocity of the fluid through it. So we can divide both sides by n A to solve for V. So the velocity then of the blood is the volume flow rate divided by the number of vessels times cross-sectional area of each and cross-sectional area of this cylindrical vessel is going to be pi times radius squared. But… right! Radius has diameter divided by two squared. And this works out to four Q over n pi diameter squared. So it's four times 8.3333 times 10 to the minus five cubic meters per second divided by one billion times pi times eight times ten to the minus six meters squared. And that is both two millimeters per second. And we take only one significant figure since our diameter measurement is only one significant figure. And this is 0.0016589 meters per second. And this can be converted into millimeters per second. And there we go.