Question
(a) A world record was set for the men's 100-m dash in the 2008 Olympic Games in Beijing by Usain Bolt of Jamaica. Bolt “coasted” across the finish line with a time of 9.69 s. If we assume that Bolt accelerated for 3.00 s to reach his maximum speed, and maintained that speed for the rest of the race, calculate his maximum speed and his acceleration. (b) During the same Olympics, Bolt also set the world record in the 200-m dash with a time of 19.30 s. Using the same assumptions as for the 100-m dash, what was his maximum speed for this race?
Final Answer
Solution video
OpenStax College Physics for AP® Courses, Chapter 2, Problem 40 (Problems & Exercises)

vote with a rating of
votes with an average rating of
.
Calculator Screenshots
Video Transcript
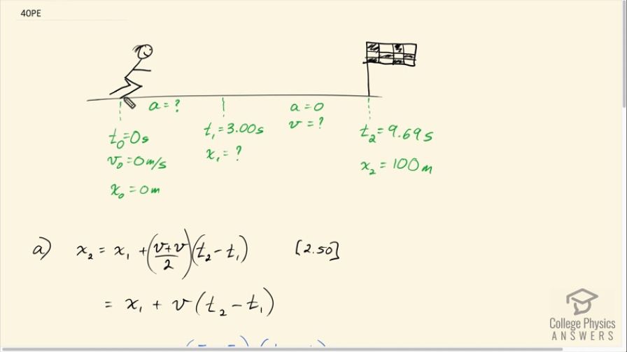
This is College Physics Answers with Shaun Dychko. Usain Bolt set world records in the 2008 Olympics and we are assuming that he accelerates from zero to some final speed in 3 seconds and then maintains that final speed for the rest of the race until he crosses the 100-meter finish line in 9.69 seconds in total. So there are two different time periods to consider here; there's this time period initially when he's accelerating and then there's this time period here when there's zero acceleration. All of the formulas you have learned in this chapter apply only for constant acceleration so that means for this overall journey, you cannot use one equation because the acceleration is not constant. During this first time interval, it is some non-zero acceleration and then at this point, it changes to zero and so because the acceleration changes, you can't use a single formula for the whole problem. However, you can use the formulas for each part of the problem because during this time interval here, the acceleration is constant— it's some number that we don't know but we can figure it out— and then for this second time period from here to the finish line, the acceleration also is constant and we are given that acceleration, we are told that it's zero. Okay. So this becomes two separate problems in a way. Okay. First thing to do is to draw a picture to make sure that you understand how there are these two different time intervals and then write down all the things that we know. So at the beginning we'll say that t naught is zero and it starts from rest and we'll take this position to be zero that's all usual assumptions and then the ending point has a position of 100 meters exactly because this is a 100-meter dash and we are told that the total time is 9.69 seconds so he'll cross this position at that time. And then we are told that at this time and we don't know precisely where to put this on the picture because we don't know what this position is but we do know the time is 3 seconds here when his acceleration suddenly stops and he just maintains some maximum speed that we call v which we have to figure out for this time period here. Okay. So we are gonna write down some equations to relate all these different things that we know and that we don't know. So we want to figure out what the maximum speed is so we'll use equation [2.50] which says that some position is some initial position plus an average velocity multiplied by the time interval between these two positions. So I have chosen x 1 here; normally we write x naught but we are gonna write x 1 here, we are gonna take this to be our initial position for the purpose of this equation. So this equation applies only during this second time interval of constant velocity and it's a bit strange the way I have written v plus v divided by 2 but I'm just trying to be really methodical and say that, you know, this is average velocity but of course, v plus v is 2v which divided by 2 becomes just v and so this reduces to this line here, maybe I can repeat the x 2 there. Okay. So for this second time interval, we have position 2 is position 1, whatever that is, plus this maximum speed, that we also don't know, multiplied by the time interval and we do know these two times; t 2 is this and t 1 is that. So this is one equation with 2 unknowns and because there are two unknowns, we can't solve it. So what we have to do is come up with another equation that we can use to substitute in place of one of these unknowns and so that's what I have done in blue here; this blue equations considers the first time interval. and it uses the same equation number 50. And so x 1, this unknown position here, is x naught, which is zero, plus this maximum final speed plus the initial speed v naught, which is zero, divided by 2 so this is the average velocity during this first time interval multiplied by that time interval which is t 1 minus t naught. And then replacing all the things that are zero reduces to this equation here. So x 1 is maximum speed v multiplied by t 1 over 2 because x naught is 0, t naught is 0 and v naught is 0. Okay. Now this is something we can't solve because we don't know what v is but we can substitute it in place of x 1 in this equation which is what I have done here and that is very useful because now we have an equation where there's only one thing that we don't know; we have replaced this unknown x 1 with a different expression that has the same unknown that we had before here and so now this equation has only one unknown, which is v, and we are gonna solve for it. So we have position x 2 is maximum speed times t 1 over 2 plus maximum speed times t 2 minus t 1. So factoring out the common factor, v, we have v times t 1 over 2 plus t 2 minus t 1 and t 1 over 2 minus t 1 is minus t 1 over 2; you can write this as 2t 1 over 2 if you like and then this becomes a numerator of 1 and then let's multiply this by 2 over 2 which is the same as multiplying it by 1 but we write it as 2 over 2 to have a common denominator and then let's take this denominator outside the brackets underneath the v here. So we have x 2 equals v over 2 multiplied by 2t 2 minus t 1 and then multiply both sides by 2 and divide both sides by the bracket 2t 2 minus t 1 and then switch the sides around and you get this line here. So the maximum speed then is 2 times x 2 over 2t 2 minus t 1. So that's 2 times 100 meters divided by 2 times 9.69 seconds—that's t 2— minus 3 seconds—which we are told is t 1— giving a maximum speed of 12.2 meters per second. And then we need to find the acceleration during this first time interval so we'll use this formula [2.52] which says that the maximum speed is initial speed plus acceleration times time and technically that's t 2 or t 1 minus t naught but t naught is 0 so we can just write t 1; v naught also is 0 and we can solve this for a by dividing both sides by t 1 and so a is maximum speed divided by t 1. So that's 12.210 meters per second using extra digits because this is an intermediate calculation— and we don't want to use a rounded number in a subsequent calculation, we use the unrounded version— we divide that by—t 1—3 seconds to get an acceleration of 4.07 meters per second squared. Now in part (b), we are told that we have a new maximum speed to calculate based on a 200 meter dash which takes some total time which is different, 19.3 seconds, and we are told to use the same assumptions for part (a) which means the acceleration occurs for 3 seconds. So I put a prime on most of these variables to indicate that they represent values from a different question, the question is now a 200 meter dash, and so this maximum velocity is gonna be different than this one so that's why I wanted to write a different letter and just indicate it by the prime and it equals a different final distance which is 200 meters a total different time, 19.3 seconds, but the same t 1 first time interval during which there's acceleration and so that did not get a prime on it and that's 3 seconds. So we are using the same formula we had before but with different values and getting 11.2 meters per second was the maximum velocity in the 200 meter dash.