Question
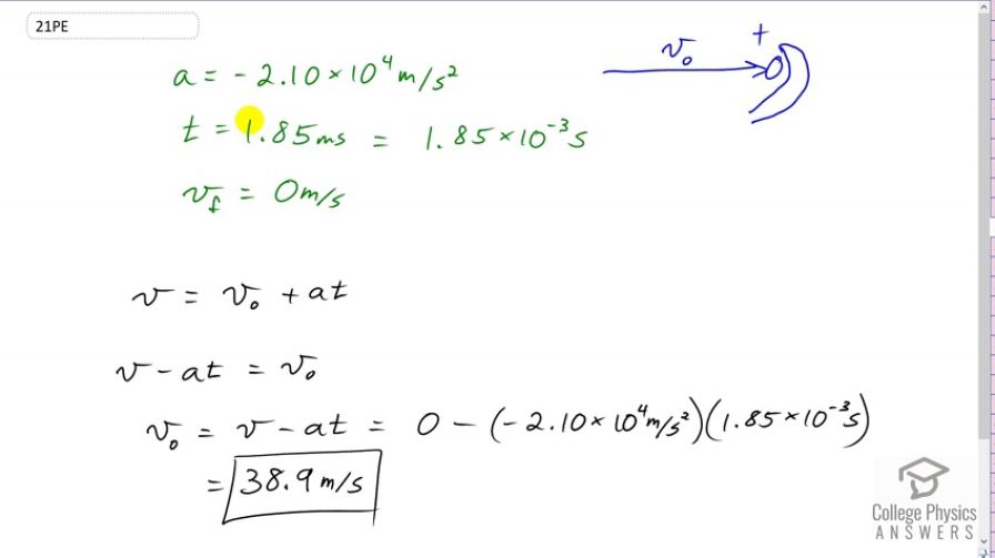
A well-thrown ball is caught in a well-padded mitt. If the deceleration of the ball is , and 1.85 ms elapses from the time the ball first touches the mitt until it stops, what was the initial velocity of the ball?
Final Answer
Solution video
OpenStax College Physics for AP® Courses, Chapter 2, Problem 21 (Problems & Exercises)

vote with a rating of
votes with an average rating of
.
Calculator Screenshots
Video Transcript
This is College Physics Answers with Shaun Dychko We begin this question by writing down the information we've been given. We know that the baseball stops in a period of 1.85 milliseconds and we'll convert this milliseconds into seconds because it's a nice... nice time at the beginning of a question when you're writing down data to take care of any unit conversion issues and we know that our formulas require meters, kilograms and seconds. We're always working in MKS units and so this is milliseconds, which means we have to change it into seconds. And milli is the metric prefix meaning times 10 to the minus 3. And so, we put a 'times 10 to the minus 3' in place of the milli prefix. And so, now, we have 1.85 times 10 to the minus 3 seconds. The deceleration is 2.1 times 10 to the 4 meters per second squared. And I wrote a negative there because this deceleration is opposing the initially positive velocity, which is all kind of made up in a way. You can decide what your coordinate system is going to be. Let's assume that to the right is positive and that's... So, that's the direction of the initial velocity. And since we've made that coordinate system positive to the right and we know that the acceleration is opposing this initial velocity because it has continued to slow down. That means the acceleration is directed to the left and it is therefore a negative. Okay. And final velocity is 0 because the ball comes to a stop in this bit. And we have this formula for final velocity equals v naught plus at and we'll subtract acceleration times time from both sides making it disappear from the right and having it appear on the left. So, v minus at equals v naught and we'll switch the sides around. And so, we have our initial velocity. It is the final velocity minus acceleration times time. And then, substituting in our numbers, we have 0 minus negative 2.1 times 10 to the 4 meters per second squared times 1.85 times 10 to the minus 3 seconds, giving us an answer of 38.9 meters per second, must have been the initial velocity, which is about 140 kilometers an hour.