Question
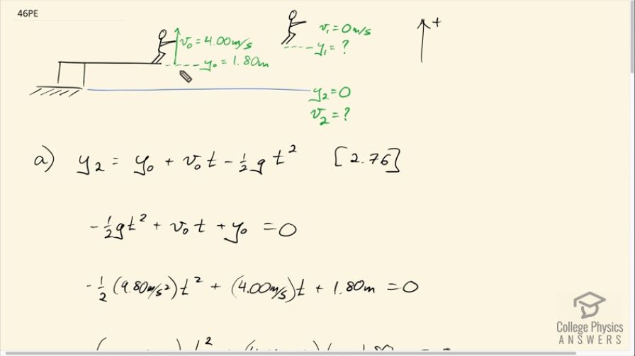
A swimmer bounces straight up from a diving board and falls feet first into a pool. She starts with a velocity of 4.00 m/ s, and her takeoff point is 1.80 m above the pool. (a) How long are her feet in the air? (b) What is her highest point above the board? (c) What is her velocity when her feet hit the water?
Final Answer
Solution video
OpenStax College Physics for AP® Courses, Chapter 2, Problem 46 (Problems & Exercises)

vote with a rating of
votes with an average rating of
.
Calculator Screenshots
Video Transcript
This is College Physics Answers with Shaun Dychko. This diver leaps off of a diving board with some initial velocity of 4.00 meters per second; they are going in the upward direction and we take that to be positive which means this velocity is a positive velocity and they will reach that maximum height sometime later and at that point, their velocity will be 0 and their height above the diving board is what we want to know but this position y 1 is going to be the height above the water when we solve for it and then to answer part (b), we'll subtract this position, y 1, from the position of the diving board, 1.80. So we'll just get this little bit of height here between the diving board and her maximum height. And then in part (c), we'll figure out what the speed is that she'll impact the water with. And now part (a) by the way is the length of time that it takes for her to leap off the diving board and go through this complete arc and then touch the water. Okay. So we use equation number 76 which says that the final position which is y 2 which we take to be zero— we'll take the water level to be zero— equals the initial position which is that of the diving board—1.80 meters— plus the initial velocity multiplied by time minus one-half acceleration due to gravity multiplied by time squared and we are gonna solve this for t. So y 2 is zero, that's why I have 0's written here, and then we plug in numbers. So that's negative one-half times 9.8 meters per second squared times time squared plus 4—that's positive because it's upwards— initial velocity 4 meters per second times time plus a positive height of 1.80 meters now all that equals 0 and that can be written like this when you multiply the 9.8 by a half and then we use the quadratic formula to solve this quadratic equation. So the time then is going to be the negative of the coefficient of the linear term so that's negative 4 meters per second plus or minus the square root of this 4 meters per second squared minus 4 times the coefficient of the squared term which is negative 4.9 and then multiply it by the constant term which is 1.80 meters and all that gets divided by 2 times negative 4.9 meters per second squared. This gives us 2 answers; negative 0.323 seconds and positive 1.14 seconds So the calculator is not going to tell you which one to choose you have to use physical reasoning to decide which one makes sense. So the interpretation of this is if the diver had somehow started at this position and leapt up such that when they reach this height they were going 4 meters per second, this is the amount of time in the past that they would have to start their leap and so they would have started their leap 0.3 seconds ago in order to travel the same path and this answer is the one that we want which is to say the second time that they return to the height of the water will be on this descending section of the ark. Okay. So 1.14 seconds is our answer. And part (b) says what is the height above the board? So we are gonna figure out what y 1 is first of all and that's the position which is the height above the water and then subtract from that the height of the board. So we have final velocity squared equals initial velocity squared minus 2 times acceleration due to gravity times the change in position. And so we multiply through by negative 2g to make negative 2g times y 1 and then positive 2gy naught because this minus and this negative makes a positive. And then we bring the 2gy 1 term on the left side of the equation by adding it to both sides and then we take the v 1 squared term to the right side by subtracting it from both sides and we get 2gy 1 equals v naught squared minus v 1 squared plus 2gy naught and then we can divide both sides by 2g to solve for y 1. So y 1 is v naught squared minus v 1 squared plus 2gy naught over 2g. So that's 4 meters per second— initial velocity—squared minus 0 meters per second which is the velocity at the maximum height that's squared plus 2 times 9.8 meters per second squared— acceleration due to gravity— multiplied by 1.80 meters which is the initial height of the diving board divided by 2 times 9.8 meters per second squared which gives a maximum position of 2.6163 meters and the highest point above the board then is gonna be that final highest position minus the height of the board giving 0.82 meters. Now in part (c), we figure out what is the velocity of this diver when they reach the water level so what is v 2 in other words? So v 2 squared is v naught squared minus 2g times y 2 minus y naught; this is equation 77 from chapter 2 although I have written number 2 for the subscripts here instead of 1 because the subscript 1 in our particular scenario here refers to this time when the diver's at the maximum height and we instead want to consider this time when they are at the water level which we have denoted with subscript 2. So we take the square root of both sides and when you do that, you technically need to say plus or minus because both are mathematically possible solutions for finding v 2. So we take the plus or minus square root of the initial speed squared or velocity I should say but eitherway, it's squared so it doesn't really matter minus 2 times g times y 2 minus y naught. So that's plus or minus square root of 4 meters per second—initial velocity—squared minus 2 times 9.80 meters per second squared times the final position which is 0— the level of the water— minus the initial position which is positive 1.80 meters— the position of the diving board— and this gives us plus or minus 7.16 meters per second. Now to figure out whether it's a positive or a negative, we need to use our physical interpretation and we can see that when the diver gets to this point, they will be moving downwards which is the negative direction so we take the negative solution here. So negative 7.16 meters per second is the diver's velocity when they hit the water.