Question
A dolphin in an aquatic show jumps straight up out of the water at a velocity of 13.0 m/s. (a) List the knowns in this problem. (b) How high does his body rise above the water? To solve this part, first note that the final velocity is now a known and identify its value. Then identify the unknown, and discuss how you chose the appropriate equation to solve for it. After choosing the equation, show your steps in solving for the unknown, checking units, and discuss whether the answer is reasonable. (c) How long is the dolphin in the air? Neglect any effects due to his size or orientation.
Final Answer
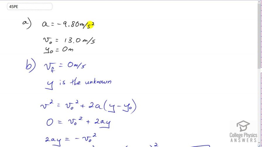
a) , ,
b)
c)
Solution video
OpenStax College Physics for AP® Courses, Chapter 2, Problem 45 (Problems & Exercises)

vote with a rating of
votes with an average rating of
.
Calculator Screenshots
Video Transcript
This is College Physics Answers with Shaun Dychko. When the dolphin leaps into the air, it will experience an acceleration due to gravity of negative 9.80 meters per second squared. So that's one of our knowns. Another known is the initial velocity that the question tells us of positive 13.0 meters per second. And we also know that the dolphin starts at position zero. And so for part B, we're going to find out what is the maximum height of the dolphin. At the maximum height of anything that's thrown in the air, its velocity will be zero at that point where it just begins to turn around and start to go the other direction. It always has to pass through a moment of being velocity zero at the very top there. And so we use this formula, the final velocity squared is initial velocity squared plus two times acceleration, times final position minus initial position. We choose this formula because it has only one unknown in it and that is the thing we're trying to find and everything else in this equation we do know. We know the final velocity is zero at the very top. We know that initial position is zero. So this equation reduces to initial velocity squared plus two times acceleration times final position. We're going to solve it for y. We'll subtract v naught squared from both sides and so on the left it becomes negative v naught squared and on the right it disappears. Then we switch the sides around so that we have our unknown on the left, unknown being y here. So that's 2ay equals negative v naught squared, then divide both sides by 2a. We have final position is negative v naught squared over 2a which is negative of 13.0 meters per second squared. Notice that this square applies only to the 13 and it does not include this minus here because that minus is part of the formula. It is not part of inside the variable. So this numerator will end up being negative. Then we divide that by two times negative 9.8 meters per second squared acceleration, giving us 8.62 meters as the final height. Then for part C, we want to know how long does the dolphin spend in the air. So we know that once the dolphin reaches its initial position again on its way back, that things are symmetrical here. So its final velocity will be negative 13.0 meters per second, whereas its initial velocity was positive 13.0 meters per second. If we neglect air resistance and so on, this will always be true that when you reach the initial height of launch, the final velocity will be the same magnitude as the initial velocity did, but just in the opposite direction. That's why there is a negative there. So we use this formula because it has only one unknown in it, being t and we know everything else. So we solve it for t then and we'll subtract v naught from both sides, and then switch the sides around so that our unknown is on the left. We have at equals vf minus v naught. Divide both sides by a giving us t equals vf minus v naught over a. So that's negative 13.0 meters per second final velocity minus positive 13 meters per second initial velocity divided by negative 9.8 meters per second squared acceleration, which gives 2.65 seconds for the dolphin if the total time it spends in the air.