Question
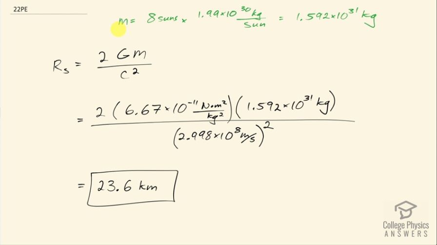
What is the Schwarzschild radius of a black hole that has a mass eight times that of our Sun? Note that stars must be more massive than the Sun to form black holes as a result of a supernova.
Final Answer
Solution video
OpenStax College Physics, Chapter 34, Problem 22 (Problems & Exercises)

vote with a rating of
votes with an average rating of
.
Calculator Screenshots
Video Transcript
This is College Physics Answers with Shaun Dychko. We want to find the radius to the event horizon for a black hole that has a mass 8 times that of the Sun. So the mass is 8 times 1.99 times 10 to the 30 kilograms per Sun which is 1.592 times 10 to the 31 kilograms. This radius is known as the Schwarzschild radius and it's 2 times the gravitational constant times the mass divided by speed of light squared. So that's 2 times 6.67 times 10 to the minus 11 Newton meters squared per kilogram squared times the mass divided by speed of light squared and that's 23.6 kilometers.