Question
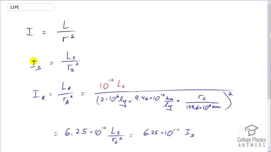
Andromeda galaxy is the closest large galaxy and is visible to the naked eye. Estimate its brightness relative to the
Sun, assuming it has luminosity times that of the Sun and lies 2 Mly away.
Final Answer
The brightness of the Andromeda galaxy is times the brightness of the sun.
Solution video
OpenStax College Physics, Chapter 34, Problem 11 (Problems & Exercises)

vote with a rating of
votes with an average rating of
.
Calculator Screenshots
Video Transcript
This is College Physics Answers with Shaun Dychko. The intensity of light is the luminosity of the light source divided by the distance to it squared. So the intensity of the Sun is the Sun's luminosity divided by the distance to the Sun squared and the intensity of the Andromeda galaxy is the luminosity of the Andromeda galaxy divided by the distance to it squared. And so the luminosity of the Andromeda galaxy we are told is 10 to the 12 times the luminosity of the Sun and the distance to the Andromeda galaxy is 2 times 10 to the 6 light years which we can convert into a number times the distance to the Sun. So we multiply by this many kilometers per light year and so the light years cancel and this gives us the number of kilometers to the Andromeda galaxy and then we convert that into solar radii by saying there's one solar radius for every 149.6 times 10 to the 6 kilometers and that gets squared and doing this calculation 10 to the 12 divided by all these numbers works out to 6.25 times 10 to the minus 11 and we are left with L s over r s squared and this is the luminosity of or I should say the intensity or brightness of the Sun as we wrote up here. So we can substitute that with I s and that means the relative brightness of the Andromeda galaxy is this factor times I s; it is 6 times 10 to the minus 11.