Question
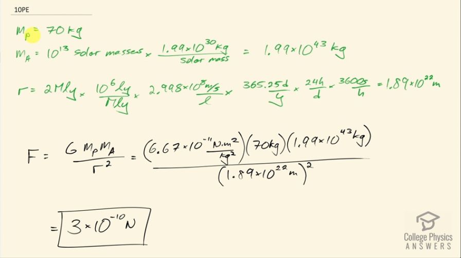
(a) What is the approximate force of gravity on a 70-kg person due to the Andromeda galaxy, assuming its total mass is that of our Sun and acts like a single mass 2 Mly away? (b) What is the ratio of this force to the person's weight? Note that Andromeda is the closest large galaxy.
Final Answer
Solution video
OpenStax College Physics, Chapter 34, Problem 10 (Problems & Exercises)

vote with a rating of
votes with an average rating of
.
Calculator Screenshots
Video Transcript
This is College Physics Answers with Shaun Dychko. What is the force of gravity due to the Andromeda galaxy on a 70 kilogram person on Earth? We assume that the distance from Earth to the Andromeda galaxy is 2 megalight years and the mass of the galaxy is 10 to the 13 solar masses. So we'll convert the mass into kilograms by multiplying by 1.99 times 10 to the 30 kilograms for every solar mass— that's the mass of the Sun— and this works out to 1.99 times 10 to the 43 kilograms and the distance is 2 megalight years, which is 10 to the 6 light years and then we multiply that by... and the distance is 2 megalight years which we multiply by 10 to the 6 light years for every megalight year and then multiply by 2.998 times 10 to the 8 meters per second for every l—l representing the speed of light— and then multiply by 365.25 days per year and then by 24 hours per day and 3600 seconds per hour and then the seconds also cancel leaving us with units of meters and that's 1.89 times 10 to the 22 meters is the distance from Earth to Andromeda. So the force of gravity is going to be the gravitational constant times the mass of the person times the mass of the galaxy divided by the distance between them squared so that's 6.67 times 10 to the minus 11 Newton meters squared per kilogram squared times 70 kilograms times the mass of the galaxy divided by the distance squared and that is 3 times 10 to the minus 10 newtons. And we compare that to the regular force of gravity that the person experiences due to Earth. So that's 2.6 times 10 to the minus 10 newtons divided by 70 kilograms times 9.8 newtons per kilogram and this is 4 times 10 to the minus 13. So the force of gravity due to the Andromeda galaxy is 4 times 10 to the minus 13 times the regular weight of the person.