Chapter 34

Chapter thumbnail
This galaxy is ejecting huge jets of matter, powered by an immensely massive black hole at its center.

Chapter 34 : Frontiers of Physics - all with Video Solutions

Problems & Exercises

Section 34.1: Cosmology and Particle Physics

Problem 1

Find the approximate mass of the luminous matter in the Milky Way galaxy, given it has approximately 101110^{11} stars of average mass 1.5 times that of our Sun.

View solution

Problem 2

Find the approximate mass of the dark and luminous matter in the Milky Way galaxy. Assume the luminous matter is due to approximately 101110^{11} stars of average mass 1.5 times that of our Sun, and take the dark matter to be 10 times as massive as the luminous matter.

View solution

Problem 3

(a) Estimate the mass of the luminous matter in the known universe, given there are 101110^{11} galaxies, each containing 101110^{11} stars of average mass 1.5 times that of our Sun. (b) How many protons (the most abundant nuclide) are there in this mass? (c) Estimate the total number of particles in the observable universe by multiplying the answer to (b) by two, since there is an electron for each proton, and then by 10910^9 , since there are far more particles (such as photons and neutrinos) in space than in luminous matter.

View solution

Problem 6

Our solar system orbits the center of the Milky Way galaxy. Assuming a circular orbit 30,000 ly in radius and an orbital speed of 250 km/s, how many years does it take for one revolution? Note that this is approximate, assuming constant speed and circular orbit, but it is representative of the time for our system and local stars to make one revolution around the galaxy.

View solution

Problem 7

(a) What is the approximate speed relative to us of a galaxy near the edge of the known universe, some 10 Gly away? (b) What fraction of the speed of light is this? Note that we have observed galaxies moving away from us at greater than 0.9c0.9c.

View solution

Problem 8

(a) Calculate the approximate age of the universe from the average value of the Hubble constant, H0=20 km/sMlyH_0 = 20\textrm{ km/s}\cdot\textrm{Mly} . To do this, calculate the time it would take to travel 1 Mly at a constant expansion rate of 20 km/s. (b) If deceleration is taken into account, would the actual age of the universe be greater or less than that found here? Explain.

View solution

Problem 9

Assuming a circular orbit for the Sun about the center of the Milky Way galaxy, calculate its orbital speed using the following information: The mass of the galaxy is equivalent to a single mass 1.5×10111.5\times 10^{11} times that of the Sun (or 3×1014 kg3\times 10^{14}\textrm{ kg}), located 30,000 ly away.

View solution

Problem 10

(a) What is the approximate force of gravity on a 70-kg person due to the Andromeda galaxy, assuming its total mass is 101310^{13} that of our Sun and acts like a single mass 2 Mly away? (b) What is the ratio of this force to the person's weight? Note that Andromeda is the closest large galaxy.

View solution

Problem 11

Andromeda galaxy is the closest large galaxy and is visible to the naked eye. Estimate its brightness relative to the Sun, assuming it has luminosity 101210^{12} times that of the Sun and lies 2 Mly away.

View solution

Problem 12

(a) A particle and its antiparticle are at rest relative to an observer and annihilate (completely destroying both masses), creating two γ rays of equal energy. What is the characteristic γ -ray energy you would look for if searching for evidence of proton-antiproton annihilation? (The fact that such radiation is rarely observed is evidence that there is very little antimatter in the universe.) (b) How does this compare with the 0.511-MeV energy associated with electron-positron annihilation?

View solution

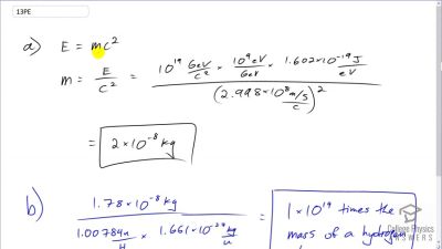
Problem 13

The average particle energy needed to observe unification of forces is estimated to be 1019 GeV10^{19} \textrm{ GeV}. (a) What is the rest mass in kilograms of a particle that has a rest mass of 1019 GeV/c210^{19} \textrm{ GeV/c}^2 ? (b) How many times the mass of a hydrogen atom is this?

View solution

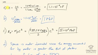
Problem 14

The peak intensity of the CMBR occurs at a wavelength of 1.1 mm. (a) What is the energy in eV of a 1.1-mm photon? (b) There are approximately 10910^9 photons for each massive particle in deep space. Calculate the energy of 10910^9 such photons. (c) If the average massive particle in space has a mass half that of a proton, what energy would be created by converting its mass to energy? (d) Does this imply that space is “matter dominated”? Explain briefly.

View solution

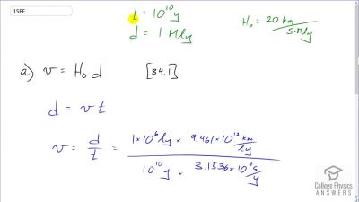
Problem 15

(a) What Hubble constant corresponds to an approximate age of the universe of 1010 y10^{10} \textrm{ y}? To get an approximate value, assume the expansion rate is constant and calculate the speed at which two galaxies must move apart to be separated by 1 Mly (present average galactic separation) in a time of 1010 y10^{10} \textrm{ y} (b) Similarly, what Hubble constant corresponds to a universe approximately 2×1010 y2\times 10^{10} \textrm{ y} old?

View solution

Problem 16

Show that the velocity of a star orbiting its galaxy in a circular orbit is inversely proportional to the square root of its orbital radius, assuming the mass of the stars inside its orbit acts like a single mass at the center of the galaxy. You may use an equation from a previous chapter to support your conclusion, but you must justify its use and define all terms used.

View solution

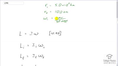
Problem 17

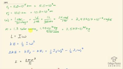
The core of a star collapses during a supernova, forming a neutron star. Angular momentum of the core is conserved, and so the neutron star spins rapidly. If the initial core radius is 5.0×105 km5.0\times 10^{5}\textrm{ km} and it collapses to 10.0 km, find the neutron star's angular velocity in revolutions per second, given the core's angular velocity was originally 1 revolution per 30.0 days.

View solution

Problem 19

Distances to the nearest stars (up to 500 ly away) can be measured by a technique called parallax, as shown in Figure 34.26. What are the angles θ1\theta_1 and θ2\theta_2 relative to the plane of the Earth's orbit for a star 4.0 ly directly above the Sun?

View solution

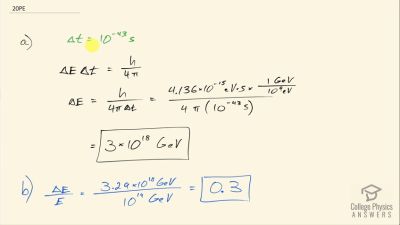
Problem 20

(a) Use the Heisenberg uncertainty principle to calculate the uncertainty in energy for a corresponding time interval of 1043 s10^{-43}\textrm{ s} . (b) Compare this energy with the 1019 GeV10^{19}\textrm{ GeV} unification-of-forces energy and discuss why they are similar.

View solution

Section 34.2: General Relativity and Quantum Gravity

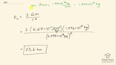
Problem 22

What is the Schwarzschild radius of a black hole that has a mass eight times that of our Sun? Note that stars must be more massive than the Sun to form black holes as a result of a supernova.

View solution

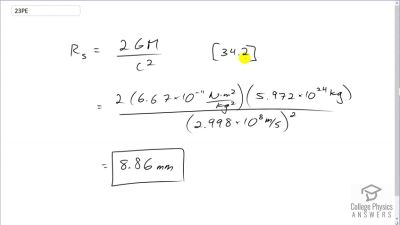
Problem 23

Black holes with masses smaller than those formed in supernovas may have been created in the Big Bang. Calculate the radius of one that has a mass equal to the Earth's.

View solution

Problem 24

Supermassive black holes are thought to exist at the center of many galaxies. (a) What is the radius of such an object if it has a mass of 10910^9 Suns? (b) What is this radius in light years?

View solution

Section 34.3: Superstrings

Problem 26

The characteristic length of entities in Superstring theory is approximately 1035 m10^{-35}\textrm{ m}. (a) Find the energy in GeV of a photon of this wavelength. (b) Compare this with the average particle energy of 1019 GeV10^{19}\textrm{ GeV} needed for unification of forces.

View solution

Section 34.4: Dark Matter and Closure

Problem 27

If the dark matter in the Milky Way were composed entirely of MACHOs (evidence shows it is not), approximately how many would there have to be? Assume the average mass of a MACHO is 1/1000 that of the Sun, and that dark matter has a mass 10 times that of the luminous Milky Way galaxy with its 101110^{11} stars of average mass 1.5 times the Sun’s mass.

View solution

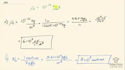
Problem 28

The critical mass density needed to just halt the expansion of the universe is approximately 1026 kg/m310^{-26}\textrm{ kg/m}^3. (a) Convert this to eV/c2m3\textrm{eV/c}^2\cdot\textrm{m}^3. (b) Find the number of neutrinos per cubic meter needed to close the universe if their average mass is 7 eV/c27\textrm{ eV/c}^2 and they have negligible kinetic energies.

View solution

Problem 29

Assume the average density of the universe is 0.1 of the critical density needed for closure. What is the average number of protons per cubic meter, assuming the universe is composed mostly of hydrogen?

View solution

Problem 30

To get an idea of how empty deep space is on the average, perform the following calculations: (a) Find the volume our Sun would occupy if it had an average density equal to the critical density of 1026 kg/m310^{-26}\textrm{ kg/m}^3 thought necessary to halt the expansion of the universe. (b) Find the radius of a sphere of this volume in light years. (c) What would this radius be if the density were that of luminous matter, which is approximately 5% that of the critical density? (d) Compare the radius found in part (c) with the 4-ly average separation of stars in the arms of the Milky Way.

View solution

Section 34.6: High-temperature Superconductors

Problem 31

A section of superconducting wire carries a current of 100 A and requires 1.00 L of liquid nitrogen per hour to keep it below its critical temperature. For it to be economically advantageous to use a superconducting wire, the cost of cooling the wire must be less than the cost of energy lost to heat in the wire. Assume that the cost of liquid nitrogen is 0.30perliter,andthatelectricenergycosts0.30 per liter, and that electric energy costs 0.10 per kW·h. What is the resistance of a normal wire that costs as much in wasted electric energy as the cost of liquid nitrogen for the superconductor?

View solution