Question
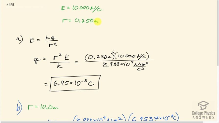
(a) What magnitude point charge creates a 10,000 N/C electric field at a distance of 0.250 m? (b) How large is the field at 10.0 m?
Final Answer
Solution video
OpenStax College Physics, Chapter 18, Problem 30 (Problems & Exercises)

vote with a rating of
votes with an average rating of
.
Calculator Screenshots
Video Transcript
This is College Physics Answers with Shaun Dychko. What magnitude charge creates an electric field of strength 10000 newtons per coulomb at a distance of 0.250 meters? Well, electric field equals Coulomb's constant multiplied by the charge divided by the distance squared and so we'll solve for q by multiplying both sides by r squared over k. So the charge then is the distance from the charge squared times the electric field strength divided by Coulomb's constant. So that's 0.250 meters squared times 10000 newtons per coulomb divided by 8.988 times 10 to the 9 and we get 6.95 times 10 to the minus 8 coulombs. Part (b) asks what will the electric field be of this same charge 10 meters away? Well now that we know the charge, we can use this formula to calculate the field. So we have Coulomb's constant times the answer to part (a) divided by 10.0 meters squared which is 6.25 newtons per coulomb.